POcETNA STRANA

Seminarski i Diplomski Rad
 
SEMINARSKI RAD IZ ELEKTRONIKE
OSTALI SEMINARSKI RADOVI IZ ELEKTRONIKE / ELEKTROTEHNIKE
Diode-seminarski rad
Primenjena elektronika-seminarski rad
 

 

 

 

 

 

 

 

 
 

ELEKTRONSKE KOMPONENTE

Problematika konstruisanja i primene komponenata elektronskih uređaja pedstavlja značajnu granu čiji kontinuirani razvoj karakteriše stalni tehnološki napredak u procesu proizvodnje komponenata i nove topologije elektronskih kola. Uticaj svojstava komponenata na ukupne performanse elektronskog kola kao i zahtevi koje kola nameću u pogledu svojstava komponenata međusobno se prepliću.
Ovu problematiku pokrivaju kroz predmet Elektronske komponente. Materijal iz ovog rada je koristan svima koji se bave ovom problematikom u praksi. Ovaj materijal, koji obuhvata oblast otpornike, kondezatore, kalemove, diode,tranzistore, pokriva samo deo programa iz predmeta Elektronske komponente.

ELEKTRONSKE KOMPONENTE

Kao i bilo koja druga oblast tehnike, i elektronika je bazirana na osnovnim, za nju specifičnim komponentama. Elektronske komponente (e. deo, е. еlement) su osnovni elektronski elementi sa dve ili više metalnih elektroda ili žica. Коmponente se povezuju zajedno, obićno žicama ili na štampanoj ploćici da stvore elektrićno kolo (elektronski sklopovi, е. krug) sa određenom funkcijom. Funkcija može biti pojaćanje signala, prekidanje, oscilator i drugo. Оstvarivanje veze se praktićno izvodi lemljenjem, nanošenjem kontakata u vakumu, žičanim motanjim vezama (еng. wire-wrap) i sl.
Osnovni cilj je smanjivanje dimenzija komponenata, sve do nivoa molekula, pa, čak, i atoma. Elektronika bazirana na takvim komponentama već sada se zove molekularna elektronika. Pored znatno većeg stepena integracije, odnosno izuzetno većeg broja komponenata po čipu, smanjivanje dimenzija komponenata dovešče do daljeg povećanja brzine njihovog rada. Postojeći materijali biće zamenjeni drugim, tako da če i principi rada sadašnjih komponenata biti drugačiji. Na slici prikazano je kako su se tokom godina smanjivale dimenzije (konkretno dužina) komponenata.

Smanjivanje dimenzija komponenata tokom
Smanjivanje dimenzija komponenata tokom godina i predviđanje do 2020. godine

Radi boljeg pregleda komponente se dele na pasivne i aktivne.
Atribut aktivan se odomačio jer su aktivne komponente sposobne za pojaćanje i prekidanje signala, dok pasivne komponente imaju drugu primenu (slabljenje, filtracija, ogranićenje, podešavanje itd.).
Praksa ponekad odstupa od navedenog principa. Ranije su se pod aktivnim komponentama podrazumevale elektronske cevi, dok danas tu ubrajamo sve poluprovodnićke komponente, ćak i da nemaju efekat pojaćanja ili prekidanja. Ima i suprotnih primera.

1. PASIVNE KOMPONETE

U pasivne komponete se danas ubrajaju sve komponente koje nisu na bazi poluprovodnika.
Pasivne komponente se redovno mogu opisati sa malim brojem parametara. Proraćunu i izboru treba posvetiti adekvatnu pažnju jer pouzdanost i primenjivost nekog uređaja u velikoj meri zavisi od njih.
U inženjerskoj praksi proraćun, izbor, nabavka i ugradnja pasivnih komponeti se ne može smatrati za drugorazredni zadatak.
U skladu sa ovim pricipima daje se kratak opis komponeti. Kod svih komponenata je naglasak na praktićnim aspektima (grafićki simbol, struktura, karakteristike, modeli, tipovi, kućišta).

Elektronske komponente

1.1. Otpornik (engl. resistor) jе pasivna еlеktronska komponenta sа dva izvoda (јеdnim pristupom) koja pruža otpor struji, stvarajuči pritom pad napona između priključaka. Pružanje otpora struji kao оsnovna osobina otpornika оpisuje se elektrićnim otporom. Prema Omovom zakonu еlektrićni otpor jednak je padu napona na otporniku podeljen sa jaćinom struje koja potiće kroz оtpornik. Drugim recima, оtpor je konstanta srazmerna između napona i struje otpornika. Оtpornik se koristi kao element еlektrićnih mreža i еlеktronskih uređaja.

Simboli kojima se oznacavaju otpornici
Simboli kojima se označavaju otpornici u šemama elektronskih kola.

Osnovne karakteristike otpornika

Glavne karakteristike otpornika su nazivna otpornost, nazivna snaga i nizovi nazivnih vrednosti otpornosti i klase tačnosti i dr.

1. Nazivna otpornost. Pod nazivnom otpornošću, koja se još zove i nominalna otpornost,
podrazumeva se otpornost otpornika pri normalnim radnim uslovima. Nazivna otpornost i dopušteno odstupanje otpornosti od nazivne vrednosti (tolerancija) najčešće su označeni na samom otporniku.

Otpornost otpornika konstantnog preseka površine S i dužine l data je izrazom:

pri čemu je p specifična otpornost otpornog materijala, koja se izražava u Ωmm2/m, Ωm ili Ωcm.

Otpornost cilindričnog otpornika čija je zapremina od otporne mase prečnika D,

S obzirom da kod slojnih otpornika debljina otpornog sloja može biti veoma mala, često znatno ispod 1 µm, usled čega je specifična otpornost ph takvih slojeva veća od zapreminske specifične otpornosti pv. Stoga se za karakterizaciju tankog otpornog sloja koristi slojna otpornost RS jednaka odnosu specifične otpornosti tankog sloja ph i njegove debljine h:

i izražava se u Ω/(čita se oma po kvadratu).

2. Nazivna (nominalna) snaga Pn. To je maksimalna dopustiva snaga koja se razvija na otporniku u toku relativno dugog vremenskog perioda pri neprekidnom opterećenju i određenoj temperaturi okolne sredine, pri čemu parametri otpornika ostaju u određenim granicama. Pri opterećenju otpornika snagama koje su iznad nazivne dolazi do razaranja otpornog materijala, čime se smanjuje vek otpornika, ili, čak, do pregorevanja istog. Ova snaga se zasniva na maksimalnoj temperaturi koju ne sme da pređe nijedno mesto na otporniku. Nazivna snaga zavisi od dimenzija otpornika i uslova hlađenja, kao i od uslova eksploatacije. Ovom snagom određena je i maksimalna vrednost struje kroz otpornik:

Vrednosti nazivnih snaga određene su standardom. Način obeležavanja nazivnih snaga otpornika snage od 0,25 W do 2 W i dimenzije pojedinih otpornika zavisno od njihove nazivne snage.

3. Nazivne vrednosti otpornosti i klase tačnosti. Svrstavanje otpornika stalne otpornosti u grupe sa tačno utvrđenim vrednostima otpornosti, kao i zbog uniformnosti u proizvodnji i korišćenju otpornika, koriste se nizovi nazivnih (nominalnih) vrednosti otpornosti, koje je ustanovila Međunarodna elektrotehnička komisija. Ovi nizovi se označavaju slovom E. Tako, postoje nizovi E6, E12, E24...E192 i kazuju da u navedenim nizovima respektivno ima u jednom redu veličine 6, 12, 24...192 nazivnih vrednosti otpornosti, odnosno kapacitivnosti. Nizovi su dobijeni zaokrugljivanjem vrednosti koje slede iz 10n/q, pri čemu je n ceo pozitivan ili negativan broj, a q = 6, 12, 24. ...192 (npr. niz E12 se dobija iz 10n/12). Numeričke vrednosti navedene pomnožene sa 10m (m = 0, 1, 2, 3...) čine nizove otpornika čije su otpornosti izražene u Ω.

U procesu proizvodnje komponenata dobijaju se i komponente kod kojih postoji odstupanje otpornosti, od nazivne vrednosti. Maksimalno dozvoljeno odstupanje otpornosti, od nazivne vrednosti, tj. =Nimax/Ni određeno je klasom tačnosti, odnosno tolerancijom. Tolerancija se obično izražava u procentima. Za otpornike opšte namene propisane su tolerancije: ±0,1%,±0,25%,
±0,5%, ±1%, ±2%, ±5%, ±10% i ±20%.
Otpornik mora sadržati sledeće podatke: nazivnu otpornost (u Ω, kΩ,ili MΩ), toleranciju nazivne otpornosti, nazivnu snagu (u W), granični napon (u V), itd. Ovi podaci se na otporniku naznačuju datim redosledom, a ako na telu otpornika nema mesta za sve podatke, onda prvenstvo imaju oznake po nabrojanom redosledu.
Vrednosti nazivnih otpornosti, kao i tolerancija te otpornosti, nanose se na telo otpornika ispisivanjem cifara i slova, ili boja. Otpornost čip otpornika obično se označava pomoću tri cifre; treća cifra kazuje koliko nula ima iza prve i druge cifre. Na primer: 220 Ω≡221; 47 Ω≡470; 5600 Ω≡562.

Označavanje bojama, sa napomenom da označavanje počinje prvom bojom (odnosno trakom) koja je bliža jednom (levom) kraju otpornika. Oznakom sa četiri trake označavaju se otpornici sa dvocifrenom osnovnom vrednošću otpornosti i sledećim vrednostima tolerancije otpornosti: ±1%, ±2%, ±5%, ±10% i ±20%. Sa pet traka označavaju se otpornici koji imaju trocifrenu osnovnu vrednost otpornosti, sa tolerancijom otpornosti ±0,1%, ±0,25%, ± 0,5%, ±1% i ±2%. Znači, označavanje otpornika sa tolerancijama otpornosti ±1% i ±2% može biti i sa četiri boje i sa pet boja.


Otpornik

Pod dejstvom različitih spoljašnjih uticaja, kao što su toplota (hladnoća), vlažnost, pritisak, potresi, radijacija, itd., parametri otpornika su podložni promenama, tj. mogu imati ili nemati prvobitnu vrednost.

4. Temperaturna stabilnost otpornosti. Promene otpornosti otpornika pri porastu temperature karakterišu se temperaturnim koeficijentom otpornosti αR, koji je jednak relativnoj promeni otpornosti pri promeni temperature:

αR=1/R · (dR/ dT)

Temperaturni koeficijent otpornosti, koji zavisi i od same vrednosti otpornosti, kod nenamotanih otpornika ima vrednosti αR =±(1÷10)·10-4 1/oc,a kod namotanih otpornika αR =(0±2)·10-4/oc.
Za opseg radnih temperatura T otpornost otpornika stalne otpornosti na nekoj temperaturi T vrlo približno jednaka je:

R =Ro(1α R T)

pri čemu je Ro otpornost otpornika pri temperaturi To, a T = T -To. Dugotrajno dejstvo povišene temperature može dovesti do nepovratnih promena otpornosti ili oštećenja otpornika, a ove promene posebno su izražene kod nenamotanih otpornika.

5. Vlažnost. Otpornost otpornika može biti izmenjena u slučaju da je on pod uticajem vlage. Ova promena otpornosti nastupa zbog toga što se usled vlažne površine otpornika stvara provodni „most“, te se šantira otpornik (ova pojava je izraženija kod otpornika velike otpornosti), ili se usled oksidacije i elektrohemijskih procesa razara otporni sloj otpornika. Zbog toga se vrši zaštita površine otpornika kvalitetnim lakovima, emajlima ili, pak, ulaganjem u plastične mase. Na taj način se, pored zaštite od vlage, otporni sloj štiti i od mehaničkih povreda. Savremeni otpornici mogu raditi u sredinama sa relativnom vlažnošću i do 98%.

6. Električno opterećenje. Za razliku od metalnih provodnika, otpornost nenamotanih otpornika ne ostaje konstantna kada su oni priključeni na određeni napon. Naime, čak i pri neznatno malom porastu napona na njemu, otpornost toga otpornika počinje da opada, a sama pojava ima nelinearan karakter. Nelinearnost otpornosti otpornika sa zrnastom strukturom uslovljena je promenom provodnosti kontakata između čestica, što je posledica neravnomernog zagrevanja istih. Kod kompozitnih otpornika sa vrlo grubom krupnozrnastom strukturom može doći do lokalnog stapanja zrnaca, usled čega se menja otpornost otpornika; kod čisto metalnih slojeva se ne primećuje nelinearnost otpornosti.
Kao mera nelinearnosti otpornosti je naponski koeficijent otpornosti. Ovaj koeficijent, čija je vrednost negativna, označava promenu otpornosti otpornika kada se na njega priključi napon V i jednak je:

Naponski koeficijent otpornosti

7. Šumovi. U otpornicima su od značaja dve vrste šumova: termički i strujni. Termički ili Džonsonov šum je posledica termičke fluktuacije nosilaca naelektrisanja i nezavisan je od vrste materijala od koga je izrađen otpornik. Napon ovoga šuma Vterš se računa na osnovu:

Napon Donsonovog suma

8. Frekventna svojstva otpornika .Otpornik, kao i svaka druga komponenta, poseduje reaktivne parazitne elemente, u ovom slučaju parazitnu induktivnost LP i parazitnu kapacitivnost cP. Na frekvencijama na kojima se uticaj reaktivnih elemenata može zanemariti, a to su niske frekvencije, otpornost otpornika se može smatrati aktivnom. Međutim, na visokim frekvencijama, pored aktivne komponente otpornosti postoji i reaktivni deo, tj. otpornik se ponaša kao impedansa. Uzimajući aktivne i reaktivne elemente, uticaj frekvencije na karakteristike otpornika može se razmatrati na osnovu uprošćenih ekvivalentnih šema

Frekventna svojstva otpornika

Kod otpornika velike otpornosti, kod kojih je R2 > Lp/cp, može se zanemariti induktivnost otpornika i ekvivalentna šema je predstavljena paralelnom vezom Rn i cp, tako da je aktivna komponenta kompleksne otpornosti jednaka:

R a =R n/(1+ c p R n)2

pri čemu je Rn nazivna otpornost otpornika. Vidi da se pri malim vrednostima cpRn aktivna komponenta Ra malo razlikuje od Rn.

Grupe otpornika:
U svakodnevnoj praksi delimo na tri osnovne grupe otpornika, to su:
otpornici stalne otpornosti -ugljenični otpornici, metalslojni otpornici, slojni kompozitni otpornici, maseni kompozitni otpornici, čip otpornici, otpornički moduli (otporničke mreže),
otpornici promenljive otpornosti (potenciometri) ,regulacioni otpornici (trimeri) i nelinearni otpornici (otpornici sa nelinearnom promenom otpornosti) - NTc otpornici, PTc otpornici (pozistori), varistori, fotootpornici.
Ako se dele po konstrukciji, otpornici mogu biti slojni, od mase i žičani. U zavisnosti od namene dele se na otpornike opšte i posebne namene.
U otpornike opšte namene spadaju otpornici od kojih se ne traže povišeni zahtevi u odnosu na tačnost njihove proizvodnje i stabilnost njihovih karakteristika pri eksploataciji. Oni se koriste u različitim oblastima elektronike (najviše u uređajima široke potrošnje).
U otpornike posebne namene spadaju visokoomski, visokofrekventni, otpornici povišene stabilnosti (precizni i poluprecizni) i neki drugi tipovi otpornika sa posebnim zahtevima.

Otpornici stalne otpornosti
Konstrukcija otpornika je uslovljena njegovom primenom, tipom otpornog materijala i za većinu otpornika je relativno prosta. Na slici su prikazani nenamotani otpornici sa izvodima, kao i otpornici za površinsku montažu (SMD) i različite kombinacije otpornika konstantne otpornosti, poznate pod nazivom otpornički moduli (otporničke mreže).

Izgled nenamotanih otpornika

Spoljašnji izgled nenamotanih otpornika sa izvodima konstantne otpornosti

Otpornici za površinsku montažu (SMD) i otpornički moduli

Otpornici promenljive otpornosti
Potenciometri su takvi otpornici kod kojih, pored krajnjih izvoda, postoji i jedan klizni kontakt (klizać). Aktivni materijal je i u ovom slućaju tanak sloj grafita, metala ili je otporna žica.
Klizać se može pomerati po aktivnom sloju po želji. Na ovaj naćin se ostvaruje promenljiva otpornost ili promeljiva podela napona. Pomeranje klizaća se ostvaruje okretanjem osovine ili pravolinijskim pomeranjem određene rućke.
Promena otpornosti je obićno srazmerna sa velićinom pomeraja klizaća (linearni potenciometri) ali može postojati i logaritamska zavisnost (logaritamski potenciometri). U slućaju da se pomeranje klizaća vrši sa alatom, govorimo o trimer potenciometrima.
Najvažniji podaci za potenciometre su otpornost, maksimalna snaga i maksimalni ugao okretanja. Veãina potenciometara se može okretati nešto manje od punog kruga (na pr. 330o).
Postoje međutim i potenciometri sa više okretaja, kod njih osovina se može okretati na pr. za tri ili deset krugova. Potenciometri sa više okretaja su skupi i koriste se samo u slućaju posebno preciznih podešavanja.

Simboli kojima se oznacavaju potenciometri
Simboli kojima se označavaju potenciometri u šemama elektronskih kola

Spoljašnji izgled nekih višeokretnih potenciometara
Spoljašnji izgled nekih višeokretnih (helikoidalnih) potenciometara

Trimeri se koriste u kolima kada otpornost treba tačno odrediti u toku njihovog podešavanja i koju ne treba često menjati u toku eksploatacije. Po konstrukciji se ne razlikuju mnogo od standardnih potenciometara, sem što su manjih dimenzija i, kao i oni, mogu biti jednookretni i višeokretni, sa nenamotanim (ugljeničnim, kermetnim) ili namotanim otpornim elementom.

Regulacioni otpornici
Regulacioni otpornici (trimeri)

Otpornici sa nelnearnom promenom otpornosti
Karakteristike ovih otpornika nisu linearne funkcije promene otpornosti sa
uzrokom promene otpornosti, to se ovi otpornici zajedničkim imenom zovu nelinearni otpornici.

Osnovni tipovi nelinearnih otpornika
Osnovni tipovi nelinearnih otpornika

Kada se otpornost otpornika menja sa temperaturom, takvi otpornici se zovu termistori. Razlikuju se dve osnovne vrste termistora: sa negativnim temperaturnim koeficijentom otpornosti (NTc otpornici) i sa pozitivnim temperaturnim koeficijentom otpornosti (PTc otpornici, ili kako se još zovu, pozistori). Otpornici kod kojih se otpornost nelinearno menja pod uticajem električnog polja zovu se varistori ili VDR otpornici, a oni koji menjaju otpornost pod uticajem svetlosti jesu fotootpornici.

1.2. Kondezatori (engl. capacitors) su elektronske komponente koje u svom unutrašnjem elektrićnom polju mogu da akumuliraju znaćajnu energiju. Energija se akumulira u izolacionom sloju (dielektrik) između dve metalne površine kada na te metale površine nanesemo elektricitet suprotnog polariteta. Pri tome se pojavljuje potencijalna razlika između metalnih površina što se može izmeriti na izvodima koji se prikljućuju na te metalne površine.
Problematika konstrukcije kondenzatora uglavnom je bila bazirana na analizi geometrijiske strukture koja dozvoljava realizaciju tražene kapacitivnosti. Ovaj problem pogotovo je od značaja u realizaciji promenljivih kondenzatora kod kojih se zahteva da realizuju odredjenu analitičku funkciju u zavisnosti od položaja mehaničkog pozicionera.
Razvoj tehnologije materijala omogućio je da se čitav spektar veštačkih materijala može koristiti za konstrukciju čime značaj geometrije tela kondenzatora značajno umanjen. Danas su na raspolaganju kondenzatori u opsegu od nekoliko pF do μF u istom kućištu i veoma sličnih performansi.
Savremena tehnologija konstruisanja integrisanih elektronskih kola omogućava i realizaciju kondenzatora na cMOS kompatibilnoj tehnologiji. Isto kao i sa integrisanim otpornicima, problem predstavlja realizacija velikih vrednosti kapaciteta

Simboli kojima se oznacavaju kondenzatori
Simboli kojima se označavaju kondenzatori u šemama elektronskih kola

Osnovne karakteristike kondenzatora

Osnovna veličina kondenzatora je njegova električna kapacitivnost c, koja je određena odnosom količine naelektrisanja Q i napona V(≡ U) na oblogama kondenzatora:

c = Q /V.

Akumulisana energija se može izraćunati po formuli:

W=cV2/2

1. Nazivna kapacitivnost je kapacitivnost pri normalnim radnim uslovima i označena je na samom kondenzatoru. Nazivne kapacitivnosti kondenzatora sa dozvoljenim tolerancijama biraju se iz nizova E6, E12... Kapacitivnost se izražava u faradima (F). Međutim, s obzirom da je farad vrlo velika jedinica, kapacitivnost se obično izražava u mikrofaradima (μF), nanofaradima (nF) i pikofaradima (pF).
Kapacitivnost kondenzatora zavisi od vrste dielektrika, geometrijskog oblika, dimenzija, itd. Uticaj dielektrika na kapacitivnost je uslovljen intenzitetom polarizacije samog dielektrika.Sposobnost dielektrika da se polarizuje u električnom polju karakteriše se dielektričnom propustljivošću, koja se još zove i dielektrična konstanta:

ε = εo ε r

gde je εr − relativna dielektrična konstanta dielektrika, a εo − dielektrična konstanta vakuuma i ona iznosi εo = 8,85·10-12 F/m.

2. Nazivne vrednosti kapacitivnosti i klase tačnosti. Vrednosti kapacitivnosti kondenzatora , kao i dozvoljena odstupanja kapacitivnosti od nazivne vrednosti, nazivni napon, itd. ispisuju se na samom telu kondenzatora. Dozvoljena odstupanja kapacitivnosti od nazivne vrednosti, koja se izražavaju u procentima, definisana su klasama tačnosti. Ta odstupanja mogu biti simetrična (± 10%, ± 20%) i nesimetrična (−10%, +30%). S obzirom da veoma često, zbog malih dimenzija kondenazatora, na njima nema mesta za ispisivanje tolerancije kapacitivnosti, to je za iste uveden sistem slovnog označavanja (isti standard važi i za označavanje tolerancije otpornosti otpornika);
na primer, oznaka F se odnosi na toleranciju ±1% (100 F ≡ 100 pF ± 1%), a J na toleranciju ±5% (47 J ≡ 47 pF ± 5%).
Pored toga, za označavanje kondenzatora koriste se i boje koje se nanose u obliku trake ili tačke. Način označavanja kondenzatora bojama, kao i slovima i ciframa, nije jedinstven za sve vrste kondenzatora i često odstupa od standarda. Kada se kapacitivnost u pF označava pomoću tri cifre, treća cifra kazuje koliko nula ima iza prve i druge cifre. Na primer: 220 pF ≡ 221; 47 pF ≡ 470; 56 nF ≡ 563. Međutim, kada se kapacitivnost označava tačkom iza koje je neka cifra, onda je c u μF; na primer: .0047 ≡ 0,0047 μF.

Nacini obeležavanja kondenzatora
Načini obeležavanja kondenzatora

3. Dielektrici i dielektrična konstanta. Kapacitivnost i karakteristike kondenzatora znatno zavise od toga koji je dielektrik upotrebljen u kondenzatoru. Pored podele na polarne i nepolarne, dielektrici se mogu podeliti i u sledeće grupe:
• Liskun, staklo, keramika sa malim gubicima (keramika tipa I) i njima slični; koriste se za kondenzatore čije su kapacitivnosti od nekoliko pF do nekoliko stotina pF.
• Keramika sa velikom vrednošću dielektrične konstante (keramika tipa II i tipa III); koristi se za kondenzatore kapacitivnosti od nekoliko stotina do nekoliko desetina hiljada pF.
• Papir i metalizirani papir; koristi se za kondenzatore kapacitivnosti od nekoliko hiljada pF do nekoliko μF.
• Oksidni slojevi; koriste se za elektrolitske kondenzatore kapacitivnosti reda μF i veće.
• Dielektrici u obliku folija, kao što su stirofleks, poliester, polikarbonat, itd.; koriste se za kondenzatore kapacitivnosti od stotinu pF do nekoliko μF.
Dielektrična konstanta dielektrika zavisi, od temperature, napona i frekvencije promene električnog polja između obloga kondenzatora, a takođe i od niza drugih spoljašnjih faktora, što znači da je i kapacitivnost kondenzatora funkcija pomenutih veličina.

4. Otpornost izolacije i vremenska konstanta kondezatora. Realni dielektrici poseduju neku elektroprovodnost, uslovljenu postojanjem slobodnih jona i elektrona u njima. Ta provodnost je mala, ali ipak konačna. Konstantna struja Icu koja protiče kroz dielektrik pod uticajem napona na oblogama kondenzatora i koja je, praktično, struja gubitaka, zove se struja curenja. Prema tome, otpornost dielektrika, odnosno otpornost izolacije kondenzatora, a to je otpornost između obloga kondenzatora, jednaka je:

R = V/ I cu

Struja curenja Icu je vrlo mala, reda stotog ili hiljaditog dela mikroampera (izuzev kod elektorlitskih kondenzatora) i raste sa temperaturom približno po eksponencijalnom zakonu, tako da otpornost izolacije jako zavisi od temperature i veoma je velika (izražava se u megaomima, gigaomima, a takođe i u teraomima). Otpornost izolacije prvenstveno zavisi od specifične zapreminske otpornosti dielektrika ρ i od njegovih dimenzija (debljine d i površine S):

R = ρ· d/S

Otpornost izolacije se meri pri normalnim klimatskim uslovima. Sa povećanjem temperature ova otpornost se eksponencijalno smanjuje

Rc = ε0 εr ρ = τc

Veličina τc = Rc se zove vremenska konstanta kondenzatora i izražava se u sekundama.
vremenska konstanta ne zavisi od dimenzija kondenzatora, već samo od fizičkih osobina dielektrika. vremenska konstanta kondenzatora predstavlja vreme za koje količina elektriciteta opadne na 1/e deo (ili 36,8%) početne vrednosti. Ona, takođe, određuje vremensko punjenje i pražnjenje kondenzatora.

Vrednosti vremenskih konstanti razlicitih tipova kondenzatora
Vrednosti vremenskih konstanti različitih tipova kondenzatora

5. Frekventna svojstva kondezatora. Kapacitivnost kondenzatora zavisi od frekvencije i to zbog toga što se sa frekvencijom menja dielektrična konstanta i, zbog toga što kondenzator poseduje i parazitne veličine, kao što su parazitna otpornost i parazitna induktivnost Lc. Na visokim frekvencijama svaki kondenzator se može predstaviti ekvivalentnom šemom kao na slici. Ovom ekvivalentnom šemom obuhvaćeni su ne samo osnovna kapacitivnost i otpornost kondenzatora, nego i induktivnost i aktivne otpornosti izvoda.

Ekvivalentna šema kondenzatora
Ekvivalentna šema kondenzatora

Induktivnost kondenzatora obično je mala i ima vrednost reda nanohenrija. Otpornost gubitaka r, koja se sastoji od aktivnih otpornosti obloga kondenzatora i izvoda, za obične kondenzatore (ne elektrolitske), iznosi desetine delova oma. Otpornost R >> r u naznačenoj ekvivalentnoj
šemi jednaka je otpornosti izolacije kondenzatora (ova otpornost se obeležava i sa Rp − paralelna otpornost). Postojanje sopstvene induktivnosti uslovljava pojavu rezonance koja nastaje pri rezonantnoj frekvenciji fr.
Kondenzator će se pri frekvencijama f > fr ponašati kao impedansa koja ima induktivni karakter. Drugim rečima, kondenzator treba koristiti pri frekvencijama f < fr, pri kojima impedansa kondenzatora ima kapacitivni karakter. Najčešće se radni opseg frekvencija bira tako da je najviša frekvencija 2÷3 puta niža od rezonantne frekvencije kondenzatora.
Povećanje rezonantne frekvencije fr postiže se smanjenjem parazitne kapacitivnosti Lc.
Jedan od načina dobijanja malih vrednosti induktivnosti Lc jeste primena kratkih izvodnica, ili upotreba kondenzatora za površinsko montiranje (SMD). Smanjenje induktivnosti Lc kod namotanih tubastih kondenzatora postiže se postavljanjem kontakata izvodnica što je moguće bliže jedan drugome.
Gubici u parazitnim kapacitivnostima, do kojih neminovno dolazi usled konstruktivnih
izvođenja kondenzatora (inkapsulacija, zalivanje ili presovanje u plastične mase, itd.), kao i gubici na otpornosti izolacije određuju donju graničnu frekvenciju kondenzatora. Konstrukcijom i tehnologijom proizvodnje kondenzatora može da se utiče na frekventni opseg.

Frekventni opseg primene kondenzatora
Frekventni opseg primene kondenzatora sa različitim dielektricima

6. Gubici u kondezatoru. U realnom kondenzatoru, koji je priključen u električno kolo, jedan deo energije se uvek bespovratno izgubi. Ovaj gubitak energije je posledica zagrevanja kondenzatora i rasejavanja toplote u okolnu sredinu. Pri tom, izdvojena toplota može u kondenzatoru da dovede do nedopustivog povećanja njegove temperature. Povećanje temperature iznad temperature okolne sredine direktno je proporcionalno snazi gubitaka Pa. Kondenzatori velikih reaktivnih snaga, kod kojih gubici energije imaju i ekonomski smisao, karakterišu se dopustivim gubicima snage Pa,dop.
Ukupna snaga gubitaka Pa u kondenzatoru iznosi:

Pa = Pε + Pm

gde je Pε snaga gubitaka u dielektriku, a Pm snaga gubitaka u metalnim delovima kondenzatora.
Gubici u dielektriku su, u osnovi, povezani sa procesom polarizacije dielektrika i njegovom provodnošću. Gubici u metalnim delovima uslovljeni su zagrevanjem obloga, izvoda i kontakata.

7. Stabilnost kondezatora. Električna svojstva i radni vek kondenzatora zavise od dejstva spoljašnjih klimatskih i mehaničkih uticaja (temperature, pritiska, vlažnosti, radijacije, vibracija, itd.).
Uticaj temperature ogleda se u promeni kapacitivnosti i ugla gubitaka (faktora dobrote kondenzatora), a takođe i električne čvrstoće. Naime, promena temperature utiče na metalne delove kondenzatora u vidu skupljanja ili širenja, usled čega se menja kapacitivnost. Isto tako, promena temperature može da utiče i na dielektrik, koji može ili da omekša (staklo), ili da se rastopi (parafin), ili da očvrsne (kao ulje na niskim temperaturama), ili da u dielektriku nastanu naprsline i pukotine. Pored pomenutih promena u dielektriku, sa promenom temperature menja se i dielektrična konstanta dielektrrika.
Uticaj vlage na karakteristike kondenzatora može biti znatan u slučaju da vlaga prodre u dielektrik, čime se menja dielektrična konstanta dielektrika (dielektrična konstanta vode iznosi εr = 80), a to znači da se menja i kapacitivnost kondenzatora. Prisustvo vlage znatno smanjuje otpornost izolacije. Kao rezultat smanjenja otpornosti izolacije rastu gubici, posebno pri povišenim temperaturama, a takođe se smanjuje i električna čvrstoća usled porasta verovatnoće nastajanja toplotnog proboja. Pri konstantnom dejstvu vlage postoji mogućnost nastajanja elektrohemijskih pojava u dielektriku. Katastrofalne promene vrednosti parametara kondenzatora najčešće se javljaju kod kondenzatora koji duže vreme nezaštićeni rade pri visokoj vlažnosti, posebno u tropskim krajevima. Kondenzatori koji su zatopljeni u plastične mase mogu pouzdano da rade pri relativnoj vlažnosti vazduha do 90%, a hermetizovani do iznad 98%.

Grupe kondezatora: Razlikujemo sledece vrste kondenzatore: Kondenzatori stalne kapacitivnosti prema vrsti upotrebljenog dielektrika (papirni kondezatori, kondenzatori sa plastičnim i metaliziranim plastičnim folijama, liskunski kondenzatori, stakleni kondenzatori, keramički kondenzatori, elektrolitski kondenzatori, Ultracap kondenzatori) i Kondenzatori promenjive kapacitivnosti ( obrtni kondenzatori, polupromenljivi kondenzatori – trimeri, varikap diode)

Kondenzatori stalne kapacitivnosti
Papirni kondenzatori Papir je jedan od najstarijih dielektrika koji se koristi pri proizvodnji kondenzatora. Pri tom, papir mora biti posebno izrađen (tkzv. „kondenzatorski papir“). Treba napomenuti da se papir nikada ne koristi sam, već se uvek impregniše sintetičkim tečnostima, mineralnim uljima, voštanim materijalima ili vazelinom. To se čini zbog toga da bi se smanjila higroskopnost kondenzatorskog papira. Istovremeno, na taj način se povećava dielektrična čvrstoća papira, ali povećava i koeficijent dielektričnih gubitaka.
Papirni kondenzatori se najčešće rade tubastog oblika namotavanjem papirnih traka između kojih su, kao kondenzatorske obloge, metalne folije. Kao kondenzatorske obloge obično se koriste aluminijumske folije. U elektronici se papirni kondenzatori sve manje koriste i zamenjuju se kondenzatorima sa plastičnim folijama. Međutim, još se koriste u telefoniji (npr. u aluminijumskom kućištu), u energetskoj elektronici, za korekciju faktora snage, itd.
Nedostaci papirnih kondenzatora su postojanje vazdušnih mehurića u papiru i velike dimenzije samoga kondenzatora. Ovi nedostaci su, donekle, izbegnuti kod kondenzatora sa metaliziranim papirom, kod kojih je jedna strana papirne trake metalizirana. Druga dobra osobina ovih kondenzatora je autoregeneracija, koja se sastoji u sledećem: ako pod dejstvom napona nastane proboj ili kratak spoj između obloga, usled velike „lokalne“ temperature ispariće veoma tanak sloj metala u okolini mesta proboja i sprečiće obrazovanje stalnog kratkog spoja.
Treća prednost u odnosu na papirne kondenzatore jeste manja dimenzija kondenzatora sa metaliziranim papirom, s obzirom da se umesto aluminijumskih folija (debljine oko 6 μm) koristi sloj metalizacije debljine (0,02÷0,06) μm.
Postoji više različitih tipova i modela kondenzatora sa metaliziranim papirom, od kojih se izdvajaju: cilindrični kondenzatori za široku potrošnju u plastičnim kućištima, kondenzatori za kompenzaciju faktora snage kod fluoroscentnih svetiljki, kondenzatori za kompenzaciju faktora snage kod motora, itd.

Kondenzatori sa plastičnim i metaliziranim folijama. Skoro u potpunosti potisnuli su papirne kondenzatore, s obzirom da od njih imaju znatno veću otpornost izolacije i istovremeno znatno manji tangens ugla gubitaka. Kao dielektrik koriste se nemetalizirane i metalizirane folije od različitih materijala, kao što su stirofleks (zove se još i polistiren i polistirol), poliester, polikarbonat, polipropilen, itd..
Konstrukcija kondenzatora je slična konstrukciji papirnih kondenzatora. Pored izrazito boljih karakteristika u odnosu na papirne kondenzatore i kondenzatore sa metaliziranim papirom u pogledu otpornosti izolacije, gubitaka, vremenske konstante, faktora dobrote, frekventnog opsega, itd., nedostatak kondenzatora sa plastičnim i metaliziranim plastičnim folijama je što imaju relativno malu zapreminsku kapacitivnost

Detalji konstrukcije blok kondenzatora sa plasticnim folijama i metaliziranim plasticnim folijama
Detalji konstrukcije blok kondenzatora sa plastičnim folijamai metaliziranim plastičnim folijama

Spoljašnji izgled razlicitih vrsta polikarbonatskih kondenzator
Spoljašnji izgled različitih vrsta polikarbonatskih kondenzatora

Spoljašnji izgled razlicitih vrsta polipropilenskih kondenzatora
Spoljašnji izgled različitih vrsta polipropilenskih kondenzatora

Liskunski kondenzatori. Liskunski kondenzatori, ili kako se još zovu mika kondenzatori spadaju u red preciznih i stabilnih kondenzatora primenljivih na visokim frekvencijama. Ovi kondenzatori imaju izuzetno malu rednu otpornost, maksimalni odnos kapacitivnosti i zapremine, mali i jako stabilan temperaturni koeficijent kapacitivnosti i uske tolerancije.
Liskun je mineral složenog hemijskog sastava i u prirodi se sreće u više različitih varijanti.
Jedna od osobina liskuna, koja je iskorišćena za proizvodnju kondenzatora, jeste mogućnost njegovog cepanja na tanke listiće (zato se od njih mogu dobiti samo blok kondenzatori).

Izgled nekih liskunskih kondenzatora
Izgled nekih liskunskih kondenzatora

Stakleni kondenzatori. Stakleni kondenzatori su namenjeni za visoke frekvencije i dopunjuju nazivne vrednosti kapacitivnosti liskunskih kondenzatora iz E-nizova. Kao dielektrik se koristi borsilikatno staklo.
To su blok kondenzatori sa naslaganim listićima stakla i aluminijumske folije. Sami kondenzatori su monolitni, izvanredno hermetički zatvoreni.
Ono što staklene kondenzatore izdvaja od ostalih jeste što oni zadržavaju stabilne karakteristike čak od −180oc do +200 oc i što su od svih ostalih kondenzatora najotporniji na kosmička i nuklearna zračenja, (u svemirskim letilicama upravo zato ima najviše ovih kondenzatora).

Spoljašnji izgled nekih staklenih kondenzatora
Spoljašnji izgled nekih staklenih kondenzatora

Keramički kondenzatori. Najčešće se dele u tri osnovne grupe: tipa I, tipa II i tipa III, a svi se primenjuju pri srednjim i visokim frekvencijama. Iako su to, kondenzatori koji se brojčano najviše koriste (zbog niske cene), u principu to nisu kvalitetne komponente.
Keramički kondenzatori tipa I (keramike tipa I su titanati magnezijuma ili kalcijuma, sa εr = 5 ÷ 470) su temperaturno stabilni kondenzatori, sa kapacitivnošću (10 ÷ 30) pF/mm3. Ono po čemu se kondenzatori razlikuju od keramičkih kondenzatora tipa II i tipa III jeste što je kod njih promena kapacitivnosti sa temperaturom linearna.

Spoljašnji izgled razlicitih vrsta keramickih kondenzatora
Spoljašnji izgled različitih vrsta keramičkih kondenzatora

Keramički kondenzatori tipa II su temperaturno nestabilni kondenzatori sa velikom vrednošću dielektrične konstante (εr = 700 ÷ 15000), pogodni za upotrebu u kolima za spregu i odvođenje ili odvajanje frekvencije, gde nisu bitni mali tangens ugla gubitaka ili velika stabilnost kapacitivnosti. Iako su kondenzatori malih dimenzija, kapacitivnosti su relativno velike, s obzirom da se koriste keramike sa velikim vrednostima dielektričnih konstanti; kapacitivnost je oko 500 pF/mm3.
Keramički kondenzatori tipa III su veoma temperaturno nestabilni kondenzatori sa izuzetno velikom vrednošću dielektrične konstante (εr = 50000÷100000), pogodni za sprežna kola, kola za blokiranje i slično, u kojima mali tangens ugla gubitaka, velika otpornost izolacije i velika stabilnost kapacitivnosti nisu bitni. U poređenju sa keramičkim kndenzatorima tipa II, ovi kondenzatori imaju manju otpornost izolacije ili manji proizvod Rc i veći tgδ (znači, još su lošiji). Sa druge strane, usled vrlo velike vrednosti dielektrične konstante, ovi kondenzatori imaju najveću zapreminsku kapacitivnost, iznad 1 nF/mm3.

Elektrolitski kondenzatori. Osnovna osobina elektrolitskih kondenzatora je velika zapreminska kapacitivnost, posebnoizražena pri malim radnim naponima. Velika kapacitivnost se postiže upotrebom veoma tankih oksidnih slojeva nekih metala (Al, Ta) kao dielektrika; naime, iz

c = ε o ε r S/d

vidi se da će, pri istim vrednostima površine S i relativne dielektrične konstante dielektrika εr, kapacitivnost utoliko biti veća ukoliko je debljina dielektrika d manja. Stoga, da bi se obezbedio dobar (ravnomeran) električan kontakt između površine tako tankog dielektrika (tj. oksida metala)
i druge elektrode (jedna elektroda je metalna folija ili štapić na kojoj je oksid, a druga obično neoksidisana metalna folija ) neophodno je da se upotrebi provodna tečnost − zato se koristi tečan elektrolit (kod kondenzatora sa tečnim elektrolitom ), ili mangan dioksid − koji ima poluprovodničke osobine (kod kondenzatora sa čvrstim elektrolitom). Drugim rečima, elektrolit ima ulogu „produžetka“ druge elektrode.

Spoljašnji izgled razlicitih vrsta tantalnih elektrolitskih kondenzatora
Spoljašnji izgled različitih vrsta tantalnih elektrolitskih kondenzatora

Ultra cap kondenzatori. Ultracap kondenzator je elektrohemijski dvoslojni kondenzator koga čine dve elektrode uronjene u elektrolit. Ovi kondenzatori nemaju klasičan dielektrik, već je tu ulogu preuzela elektrohemijski ostvarena (zato su to elektrohemijski kondenzatori) suprotstavljena količina naelektrisanja na oblogama od aktivnog ugljenika. Rastojanje između pozitivnog i negativnog naelektrisanja (kvazidielektrik) iznosi samo d = (2÷5) nm, što uslovljava izuzetno velike vrednosti kapacitivnosti (zbog c = εoεrS/d).
Ultracap kondenzatori su komponente koje su namenjene za čuvanje energije, s obzirom da imaju izuzetno velike vrednosti kapacitivnosti, iznad farada: 5 F, 10 F, 110 F, čak do 5000 F.
Stoga se one i tretiraju kao komponente koje, u energetskom smislu, popunjuju jaz između elektrolitskih kondenzatora i punjivih baterija. Međutim, radni naponi ultracap kondenzatora su niski (Un ≤ 2,5 V), i njihov vek jako zavisi od temperature i vrednosti napona sa kojima su radili. Za
postizanje većih vrednosti napona oformljuju se moduli sa više redno i paralelno vezanih ultra- cap kondenzatora ali se, da bi se temperatura održavala što nižom, istovremno mora obezbediti hlađenje tih modula, jer se jedino u tom slučaju može garantovati njihov dug radni vek.

Spoljašnji izgled ultraCap kondenzatora
Spoljašnji izgled ultracap kondenzatora

Kondenzatori promenjive kapacitivnosti
Kondenzatori promenljive kapacitivnosti, koji se obično koriste u oscilatornim kolima za promenu rezonantne frekvencije tih kola, dele se na obrtne kondenzatore (vazdušne i sa čvrstim dielektrikom između obloga), polupromenljive kondenzatore (trimere) i varikap diode.

Simboli kondenzatora promenljive kapacitivnosti u šemama elektronskih kola
Simboli kondenzatora promenljive kapacitivnosti u šemama elektronskih kola

Obrtni kondenzatori. Obrtni kondenzatori promenljive kapacitivnosti se sastoje od grupe nepokretnih paralelnih ploča − statora i grupe pokretnih paralelnih ploča − rotora. Rotorske ploče su tako smeštene da se između svake dve statorske ploče nalazi po jedna rotorska ploča. Pri obrtanju rotorskih ploča menja se aktivna površina između ploča, tj. menja se kapacitivnost kondenzatora.
Od oblika kondenzatorskih ploča jako zavisi promena kapacitivnosti u funkciji ugla obrtanja, odnosno, drugim rečima, izborom oblika ploča kondenzatora može se menjati frekvencija oscilatornog kola po željenom zakonu pri obrtanju rotorskih ploča. Na primer, za kondenzatore
sa pravolinijiskom promenom frekvencije, koji se koriste u oscilatornim kolima u kojima se sa obrtanjem rotorskih ploča frekvencija menja linearno sa uglom obrtanja, rotorske ploče su srpastog oblika, dok su za linearnu promenu talasne dužine te ploče bubrežastog oblika.

Izgled kondenzatora promenljive kapacitivnosti
Izgled kondenzatora promenljive kapacitivnosti

Polupromenljivi kondenzatori - trimeri. Kod polupromenljivih kondenzatora (trimera), kapacitivnost se menja samo u toku podešavanja elektronskih kola, a u toku eksploatacije ostaje stalna. Proizvode se vazdušni polupromenljivi kondenzatori i kondenzatori sa čvrstim dielektrikom. Svi polupromenljivi kondenzatori imaju izolacionu podlogu (npr. keramiku) za koju se pričvršćuje stator, ležište za rotorsku osovinu i izvode pomoću kojih se kondenzator lemi za štampanu ploču. Kapacitivnost je određena površinom i debljinom rotora i dielektričnom konstantom materijala između rotora.

Višeslojni keramicki trimer kondenzatori
Višeslojni keramički trimer kondenzatori

Varikap diode. Poluprovodničke diode sa kontrolisanim kapacitivnim osobinama. Kod njih se koristi kapacitivnost inverzno polarisanog p-n spoja, pri čemu se promenom inverznog napona menja širina prelazne oblasti p-n spoja, a time i kapacitivnost varikap diode. Zbog toga se varikap diode mogu koristiti umesto klasičnih promenljivih kondenzatora (npr. za podešavanje oscilatornih kola).
Prednosti varikap dioda u odnosu na vazdušne promenljive kondenzatore su:
• neuporedivo su manjih dimenzija i mogu da se oklope zajedno sa kalemom, čime se izbegavaju parazitne sprege;
• otpornije su na mehanička dejstva (udare, potrese, itd.) i atmosferski uticaj;
• ne postoji osovina kao kod vazdušnih promenljivih kondenzatora, već se promena kapacitivnosti vrši promenom napona na diodi, što se može ostvariti promenom otpornosti potenciometra, koji može biti daleko od same diode.

Varikap diode u razlicitim kucištima
Varikap diode u različitim kućištima

Nedostaci varikap dioda kao kondenzatora su:
• gubici su veći nego kod vazdušnih promenljivih kondenzatora;
• kapacitivnost je nelinearna funkcija napona, usled čega nastaju izobličenja, što dovodi do pojave viših harmonika.

Tantal elektroliticki kondezatori

I Broj – bela boja označava kondezator za Un= 3v, vrednosti II Broj- roze boja, III Broj- plava boja vrednosti 6, IV Broj –bela boja – umnoživač x 0.1 pa je vrednost kondezatora 60µFx0.1

1.3. Kalemovi (engl. coil). Iako se konstrukcija savremenih elektronskih sklopova više oslanja na otpornike i kondenzatore, kalemovi još uvek zauzimaju značajno mesto, pre svega u impulsnim elektronskim kolima kao što su npr. prekidačka napajanja. Zbog prirode konstrukcije opšte prisutni trend minijaturizacije komponenata se odvija sporije kada su u pitanju kalemovi što je osnovni razlog njihove slabije zastupljenosti. Egzaktno modeliranje karakteristika kalemova je komplikovan numerički problem koji se može uspešno zaobići primenom empirijskih formula.

Simboli kojima se oznacavaju kalemovi
Simboli kojima se označavaju kalemovi u šemama elektronskih kola

Osnovne karakteristike kalemova

Kalemovi su elektronske komponente koje mogu da akumuliraju znaćajnu energiju u svom magnetnom polju. Magnetno polje se formira pod uticajem elektrićne struje koja prolazi kroz provodnike. Mera magnetnog polja je magnetni fluks (Ф). Kod linearnog elementa važi:

Ф = LI

gde je: L-. induktivnost kalema, I-. struja kalema.
Kolicina akumulisane energije se proraćunava po formuli:

W = LI 2/2

Kalemovi se redovno prave od bakarne žice sa lak izolacijom. Pored masivne žice, koriste se i visokofrekventni (VF) gajtani. VF gajtan se sastoji od upredenih tankih, lakom izolovanih bakarnih žilica, debljine (0,05÷ 0,1) mm. Upredanjem žilica se znatno smanjuje uticaj skin efekta, s obzirom da je svaka žilica aktivna pri provođenju struje. Zbog toga je Q-faktor kalema sa VF gajtanom pri visokim frekvencijama veći nekoliko puta od Q-faktora odgovarajućeg kalema motanog masivnom žicom. Za povećanje induktivnosti provodnik se mota spiralno, tako da se svaki zavojak ne nalazi samo u „svom“ magnetnom polju, već i u magnetnom polju susednog zavojka. Induktivnost takvog namotanog provodnika je mnogo veća od induktivnosti nenamotanog provodnika iste dužine.

Od kalemskog tela unekoliko zavise i karakteristike kalema. Namotaji mogu biti jednoslojni i višeslojni. Za dobijanje većih vrednosti induktivnosti proizvode se višeslojni kalemovi .
Međutim, višeslojni kalemovi sa zavojcima motanim po pravilnom redu imaju mali Qfaktor, malu stabilnost i veliku sopstvenu kapacitivnost, tako da su primenljivi samo kao prigušnice i u opsegu dugih talasa u radiodifuziji. Zbog toga se za motanje višeslojnih kalemova koristi unakrsno i nasumično motanje, čime se postiže da takvi kalemovi imaju relativno veliki Q-faktor (Q = 80÷100) i neznatnu sopstvenu kapacitivnost. Pored toga, ovakav način motanja obezbeđuje veliku mehaničku čvrstoću čak i bez kalemskog tela.

1. Frekventna svojstva kalemova. Ekvivalentna šema kalema izgleda kao na slici, na kojoj je L induktivnost kalema, c0 parazitna (sopstvena) kapacitivnost, a R = R0 + Rf je otpornost gubitaka, koja, pored omske otpornosti R0, sadrži i frekventno zavisne otpornosti usled skin efekta i efekta blizine Rf. Kod kalemova se jezgrom otpornost R sadrži i gubitke u jezgru Rj; dakle, R = R0 + Rf + Rj.

Ekvivalentna šema kalema
Ekvivalentna šema kalema (a), redna ekvivalentna šema (b) i odgovarajući fazorski dijagram (c).

Parazitna kapacitivnost (zavisi od načina motanja kalema) uslovljava nastanak rezonanse na nekoj frekvenciji, iznad te frekvencije kalem gubi induktivne osobine, odnosno tada dominantnu ulogu preuzima parazitna kapacitivnost, i kalem se ponaša kao kondenzator.

2. Faktor dobrote kalemova. Faktor dobrote kalemova (Q-faktor) definisan je izrazom:

Q = Le/ Re = /b

gde je b ugao gubitaka između pada napona na induktivnoj otpornosti VLe = ωLeI i napona na kalemu. Ekvivalentna otpornost kalema Re i ekvivalentna induktivnost Le zavise od frekvencije, to se Q-faktor neće u celom frekventnom opsegu linearno povećavati sa frekvencijom, već će, naprotiv, pri visokim frekvencijama opadati sa povećanjem frekvencije. Naime, pri višim frekvencijama ekvivalentna otpornost Re, brže raste sa frekvencijom od induktivne otpornosti ωLe, te Q-faktor dostiže maksimum i sa daljim povećanjem frekvencije isti opada. Radni frekventni opseg kalema se bira tako da Q-faktor ima maksimalnu vrednost u sredini tog opsega. Kod kalema sa jezgrom zatvorenog tipa, Q-faktor se može povećati 2÷3 puta ubacivanjem nemagnetnog procepa − međugvožđa. To je zbog toga što se uvođenjem međugvožđa smanjuje magnetna permeabilnost, a to znači da su i manji gubici.

Grupe kalemova. Razlikujemo dve grupe kalemova: Kalemovi bez jezgra (dugački jednoslojni cilindrični kalemovi, kratki jednoslojni i višeslojni cilindrični kalemovi, pločastih kalemova) i Kalemovi sa jezgrom(kalemovi sa otvorenim,poluzatvorenim i zatvorenim jezgrom)

Kalemovi bez jezgra
Dugački jednoslojni cilindrični kalemovi. Pod dugačkim kalemom podrazumeva se kalem kod kojeg je dužina l najmanje 10 puta veća od njegovog prečnika do.
Kratki višeslojni cilindrični kalemovi se najčešće motaju unakrsno ili nasumično
Pločasti kalemovi su oni kod kojeg je dužina kalema l veoma mala i manja od visine namotaja h i srednjeg prečnika do.

Razlicite vrste kalemova
Različite vrste kalemova

Kalemovi sa jezgrom
Za povećanje induktivnosti kalemova koriste se magnetna jezgra. Iako jezgra za kalemove mogu biti i od magnetodielektrika (metalnog magnetnog praha), znatno češće se prave od ferita.
To je stoga što pri vrlo visokim frekvencijama jezgra od magnetodielektrika imaju prevelike gubitke usled vihornih struja, te je u tom slučaju neophodno koristiti feritna jezgra, kod kojih su ti gubici znatno manji.
Feriti su jedinjenja oksida gvožđa (Fe2O3) i dvovalentnih oksida metala (ZnO, MnO, NiO, BaO, cuO i dr.) koji poseduju ferimagnetne osobine; to su tkzv. meki feriti. Dobijaju se sinterovanjem u inertnoj atmosferi i strogo kontrolisanim temperaturnim ciklusima, a dobijena jezgra su vrlo tvrda i otporna na vodu, slično kao keramičke sinterovane mase.
S obzirom da se jezgra razlikuju po konstrukciji, to se ona mogu podeliti na otvorena, poluzatvorena i zatvorena. Najmanje iskorišćenje magnetnih osobina je kod jezgara otvorenog tipa u obliku štapića ili cevčica, s obzirom da kod njih magnetni fluks dobrim delom protiče kroz vazduh. Najbolje iskorišćenje magnetnih osobina pružaju torusna jezgra.

Kalemovi sa torusnim jezgrima praktično nemaju rasipanje magnetnog fluksa i imaju relativno velike vrednosti Q-faktora i magnetne permeabilnosti koja se obeležava sa μtor (μtor je torusna permeabilnost − snima se na torusnom jezgru na početku krive magnećenja). Ovi kalemovi se ne moraju da oklopljavaju. Jezgra su kompaktna, tako da se induktivnost kalemova sa torusnim jezgrima ne može da menja. Kalemovi sa jezgrima zatvorenog tipa se osigurava veoma dobro iskorišćenje magnetnih osobina materijala. To su tzv. lončasta jezgra, RM i PM jezgra. Kod njih je magnetno kolo zatvoreno, usled čega kalemovi imaju veći Q-faktor, manju zavisnost parametara od frekvencije i spoljašnjeg magnetnog polja, te mogu raditi na višim frekvencijama.

Induktivnost kalemova sa jezgrom direktno zavisi od vrednosti efektivne magnetne permeabilnosti μe, koja umnogome zavisi od oblika i dimenzija jezgra, vrste materijala, a pogotovo od vrednosti vazdušnog procepa u magnetnom materijalu. Analitičko određivanje vrednosti efektivne permeabilnosti i induktivnosti kalema sa vazdušnim procepom ponekad je veoma zametno. Stoga se definiše faktor induktivnosti AL, koji se eksperimentalno određuje. Naime, faktor induktivnosti AL praktično predstavlja induktivnost kalema sa jezgrom koji ima samo jedan zavojak. Induktivnost kalema sa N zavojaka je onda:

L = A L N 2

Faktor induktivnosti (ili, prosto, AL vrednost) predstavlja konstantu jezgra koju daje proizvođač za svaki tip jezgra i za odgovarajući materijal i izražava se u nH. Iako je AL u nH, uobičajeno je da se ta vrednost daje samo brojčano, npr. AL = 1340 (što znači da AL = 1340 nH).

Razlicite vrste kalemova sa jezgrom
Različite vrste kalemova sa jezgrom

1.4. Diode(engl. diode). Poluprovodnicke diode su svoj naziv nasledili od elektroskih cevi slićne namene, sa dve elektrode. Poluprovodnićka dioda je dvoslojne strukture koja se formira tako da se u jedan deo poluprovodnićke ploćice (P sloj) dodaju primesni atomi ćiji je broj valentnih elektrona manji od broja valentnih elektrona polaznog poluprovodnika dok se u drugi deo (N sloj) dodaju atomi sa večim brojem valentnih elektrona. U P sloju na mestu valentnih elektrona postoji manjak elektrona što odgovara pozitivnom naelektrisanju (šupljina), isto može da se pomera pod uticajem elektrićnog
polja i može da ućestvuje u provođenju elektrićne struje. U N delu postoje slobodni elektroni koji takođe mogu da provode struju.

Ilustracija diode bez epitaksijalnog sloja
Ilustracija diode bez epitaksijalnog sloja; velikim krugovima u prelaznoj oblasti p-n spoja označene su jonizovane primese (pozitivni donorski i negativni
akceptorski joni), a kružići sa znakom „+“ označavaju šupljine kao većinske nosioce u p-oblasti, dok je za većinske elektrone u n-oblasti iskorišćena oznaka „−“.

Povezivanjem diode u spoljno kolo struja može da potekne od P sloja prema N sloju a u suprotnom smeru ne može da dođe do proticanja struje. To se objašnjava time što elektrićno polje usmereno od P dela prema N delu može da prebaci šupljine u N oblast i elektrone u P oblast, a pri suprotnom smeru elektrićnog polja ne postoje nosioci koji bi prelazila preko granićne oblasti (PN spoj). Postoječi nosioci naelektrisanja pod uticajem spoljnog polja če se u ovom slućaju udaljiti od granicne oblasti. Time se objašnjava usmeraćko dejstvo diode.
Nakon dopiranja primesnim atomima na poluprovodnićku ploćicu se prikljuće izvodi (na P deo se prikljućuje anoda - A, na N deo katoda - K) i ugrade je u odgovarajuče kučište.
Mnoge primene su upravo bazirane na tom svojstvu (usmeraći, limiteri napona, demodulatori).
Od dva moguča smera dioda u jednom smeru (direktni smer) propušta struju, pri tome ispoljava zanemarljivi pad napona. U drugom smeru (inverzni smer) ne može da potekne znaćajna struja, bez obzira na primenjeni napon. Diode ne mogu da vrše pojaćanje signala (struja, napon) ali u ogranićenom smislu mogu da vrše prekidanje. Taćnije rećeno, grana elektrićnog kola koja sadrži diodu postaje jednosmerna.

Diode

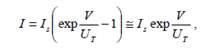
Struja diode

Struja diode

gde je V spoljašnji napon na diodi, UT termički potencijal (UT = 0,026 V pri T = 300K), a Is je inverzna struja zasićenja diode.
Struja Is je nazvana „inverznom“ zbog toga što bi ta struja tekla pri inverznoj polarizaciji. Naime, pri inverznoj polarizaciji (na n-tip pozitivan a na ptip negativan pol napona) je u jedn. exp(-V/UT) << 1 već pri naponima −V = 0,2V, tako da sledi da je tada I = − Is. Inverzna struja zasićenja je veoma mala (kod silicijumskih dioda reda pA do nA), s obzirom da nju određuju koncentracije manjinskih nosilaca naelektrisanja, a one su, kao što je pokazano, male.
Pri direktnoj polarizaciji p-n spoja eksponencijalna funkcija u jednačini brzo raste i već pri naponu većem od 0,2V je exp(V/UT) >> 1. Prema tome, p-n spoj uključen u kolo električne struje, propušta struju kada je direktno polarisan, a praktično je ne propušta pri inverznoj polarizaciji;
drugim rečima, p-n spoj (dioda) ima usmeračke karakteristike. Struja silicijumske diode naglo počinje da raste oko 0,6V, ali se kao napon vođenja diode uvek uzima V = 0,7 V.
Postoji izuzetno dobro slaganje teorijskih i eksperimentalnih vrednosti struja pri direktnoj polarizaciji diode za napone V ≥ 0,4 V, a to su upavo oni naponi pri kojima se dioda i koristi. Pri nižim direktnim naponima, a posebno pri inverznoj polarizaciji izmerene vrednosti inverznih struja Ir su znatno veće od Is (obično je Ir ≈ 1000Is). Stoga, pri inverznoj polarizaciji ne treba računati sa strujom Is, već sa sa inverznom strujom Ir >> Is. Struja koja protiče kroz diodu pri inverznoj polarizaciji je veoma mala, reda nA. Zbog tako izuzetno male struje inverzne polarizacije, a relativno velike struje kada je dioda direktno polarisana, dioda se, u prvoj aproksimaciji, može smatrati električnim ventilom, tj. komponentom koja u jednom smeru (direktna polarizacija) propušta, a u suprotnom (inverzna polarizacija) ne propušta struju.
Stoga je moguće uvesti tkzv. „praktičan“ model diode. Naime, u ovom modelu se dioda pri direktnoj polarizaciji u kolu prikazuje kao kratkospojeni prekidač P sa padom napona između katode i anode Vd = 0,7 V (sl. 8.15a); pri inverznoj polarizaciji prekidač P je otvoren, a zbog Iinv = 0 napon između anode i katode je jednak naponu izvora napajanja Vbat. Pri tom, strujno-naponska karakteristika se smatra „idealnom“ , sa naponom vođenja kod silicijuskih dioda Vd = 0,7 V.
Stvarna karakteristika se smatra dobrom aproksimacijom idealne karakteristike. U inverznom smeru struja je zaista zanemarljiva (I=-IS=0) , međutim u direktnom smeru neophodno je uzeti u obzir konaćan prag otvaranja odnosno pad napona (obićno spada u opseg od 0,5V do 1V). U slućaju velikog inverznog napona kod stvarne diode se pojavljuje proboj.

Struja diode u funkciji napona
Struja diode u funkciji napona.

Pri približnoj analizi elektronskih kola sa diodama koriste se modeli dati na slici. U direktnom smeru pad napona se uzima u obzir sa naponskim generatorom konstantnog napona (VD), nezavisno od vrednosti struje, dok u inverznom smeru prosto prekidamo granu koja sadrži diodu.
Smer polarizacije diode (direktan ili inverzan) treba odrediti iz preostalog dela kola. Na visokim frekvencijama odnosno u prekidaćkom režimu treba uzeti u obzir parazitne kapacitete poluprovodnićkih slojeva i konaćno vreme ukljućivanja/iskljućivanja.

Model diode
Model diode u a) provodnom i b) zakočenom stanju

Testiranje ispravnosti digitalnim multimetrom

Testiranje ispravnosti digitalnim multimetrom

Pored osnovne varijante poluprovodnièke diode razvijeno je i nekoliko posebnih vrsta. To su: Zener-ova dioda, tunel dioda, varikap dioda i Schottky-jeva dioda. Graficki simboli

Graficki simboli diode
a) obicna dioda, b) zener dioda, c) tunel dioda,d) varikap dioda, e) Schottky dioda. (kod svih oznaka gornji kraj je anoda)

Zener- dioda je predviđena da trajno radi u probojnoj oblasti, naravno inverznu struju odnosno snagu gubitaka (proizvod napona i struje) treba ogranićiti. Pošto je probojni napon relativno stabilne vrednosti, Zener-ove diode su pogodne za formiranje izvora referentnog napona ali mogu da se koriste i za ogranićenje napona (zaštita od prenapona).

Karakteristika tunel diode nije monotono rastuča, več sadrži jedan segment sa negativnom diferencijalnom otpornošču. Zahvaljujuči negativnoj otpornosti sa tunel diodom se mogu konstruisati oscilatori, modulatori itd. za visoke učestanosti.

Kod varikap dioda iskoriščava se pojava da kapacitet slojeva poluprovodnika zavisi od primenjenog inverznog napona. Varikap diode se koriste za podešavanje uređaja, za nameštanje frekvencije.
Umesto dva sloja poluprovodnika Schottky-jeve diode se sastoje od sloja metala spojenog sa slojem poluprovodnika. Ovom konstrukcijom može se otprilike prepoloviti pad napona na diodi, što kod primena za velike struje donosi znaćajnu uštedu. U drugim slućajevima ista osobina omogucava
efikasniju limitaciju napona nego što je moguče sa diodom sa PN spojem. Nedostatak strukture metal-poluprovodnik je što se ne mogu realizovati komponente sa velikim inverznim probojnim naponom.
Osnovni tehnićki podaci za diode su:
- Radna struja (srednja vrednost - IFAV, ili efektivna vrednost - IFRMS) je ona vrednost struje koju dioda može trajno da izdrži pri izvesnoj temperaturi kučišta.
- Dioda se kratkotrajno može opteretiti sa vršnom strujom koja je obićno za red velićine veča od radne struje. Detaljniji katalozi posebno daju ponavljajuču (IFRM) i jednostruku vršnu vrednost struje (IFSM).
- Probojni napon (VBR) je največi napon do koje dioda može da se primenjuje.
- Pri naglom prelasku iz direktnog smera u inverzni, kroz diodu može u kratkom vremenu da prođe znaćajna struja dok se ne isprazne svi nosioci naelektrisanja iz okoline PN spoja. To kratko vreme je vreme oporavka diode (trr). Po ovom kriterijumu diode delimo na obićne, brze i ultrabrze.
U zavisnosti od struje, napona i oblasti primene poluprovodnićke diode se ugrađuju u razna kučišta, od koji je nekoliko prikazano na slici.

Razni oblici kucista za diode
Razni oblici kucišta za diode:
a) kučište za površinsku montažu SOD-123, b) aksijalno kučište DO-41, c) plastićno kučište TO-220Ac, d) metalno kučište DO-4 sa navojem

2. AKTIVNE KOMPONETE

Nastajanje i razvoj elektronike su omogučili aktivni elementi. Prvo su se pojavile elektronske cevi i vladali su u elektronici u prvoj polovini XX veka. Njihovo korišćenje su ograničavali veliki gabariti i znaćajna potrošnja.
U međuvremenu je uloženo puno truda u razvoj poluprovodnićkih sklopova ali komponenta koja je mogla vršiti kontrolisano prekidanje i pojaćanje je iznađena tek posle drugog svetskog rata (1946). Ta komponeta je bila bipolarni tranzistor, ona je u primeni sve do danas. Nakon tog pronalaska usledila je serija drugih pronalazaka iz kojih su proizašli tiristori i razne varijante tranzistora sa efektom polja.
Pored diskretnih elemenata ubrzo se razvijala i integrisana tehnika (poćev od 1958. godine), gde se na jednoj poluprovodničkoj pločici može napraviti i povezati veči broj aktivnih i pasivnih komponenti. Zahvaljujuči integrisanoj tehnici, postignuta je znaćajna minijaturizacija što je omogućila razvoj i primenu novih, složenih kola.

2.1. Bipolarni tranzistori. Bipolarni tranzistor je istorijski gledano prva poluprovodnićka komponenta koja primenom kontrolnog signala u pomočnom strujnom kolu može postepeno ili skokovito da menja struju u glavnom strujnom kolu. Sam naziv tranzistor je engleska kovanica (transfer+resistor) upučuje na kontrolabilnu otpornost. Atribut bipolarni (koji se ćesto i izostavlja) je u upotrebi jer obe vrste nosioca naelektrisanja (elektroni i šupljine) igraju znaćajnu ulogu u radu bipolarnog tranzistora.
Za razliku od dioda, koje su elektronske komponente sa dva izvoda, tranzistori su komponente sa tri izvoda. Ti izvodi su kontaktirani za tri oblasti: oblast tranzistora iz koje se injektuju nosioci naelektrisanja zove se emitor, oblast u koju se injektuju ti nosioci je baza, a oblast u koju ekstrakcijom iz baze dolaze nosioci zove se kolektor.
Osnovna karateristika bipolarnog tranzistora jeste da je to komponenta koja ima pojačavačka svojstva, tj. da signal koji se dovodi na ulaz tranzistora biva pojačan na njegovom izlazu.

Bipolarni tranzistor
Bipolarni tranzistor − komponenta sa tri izvoda (a) i kao pojačavačka kompoenta (b).

Bipolarni tranzistor se sastoji od dva p-n spoja. Međutim, naglašava se da ti p-n spojevi moraju da budu u jednoj poluprovodničkoj komponenti − tranzistor se ne može dobiti jednostavnim spajanjem dva p-n spoja (dve diode); osnovno svojstvo tranzistora sastoji se baš u tome da između tih p-n spojeva postoji uzajamno dejstvo − strujom jednog spoja može se upravljati struja drugog p-n spoja. U zavisnosti od toga koga je tipa srednja oblast - baza, razlikuju se p-n-p (PNP) i n-p-n (NPN) tranzistori

Ilustrativni i šematski prikazi PNP  i NPN  tranzistora
Ilustrativni i šematski prikazi PNP (a) i NPN (b) tranzistora.

Bipolarni tranzistori male i srednje snage se najčešće dobijaju planarnom tehnologijom, pri čemu se emitorski i kolektorski spoj oformljuju dvostrukom difuzijom primesa u epitaksijalni sloj. Epitaksijalni sloj je sa niskom koncentracijom primesa i prvenstveno služi za povećanje probojnog napona spoja kolektor- baza (ceo kolektor ne može biti sa niskom koncentracijom primesa, jer bi, u tom slučaju, bila velika redna otpornost kolektora, a time i veliki pad napona na toj otpornosti; sa druge strane, velika koncentracija primesa u kolektoru dovela bi do niskog probojnog napona kolektorskog spoja, što bi bilo neodrživo za normalan rad tranzistora).

Presek epitaksijalnog dvostruko difundovanog PNP tranzistora male snage
Presek epitaksijalnog dvostruko difundovanog PNP tranzistora male snage

U praksi se koriste samo 3 načina vezivanja; spoj sa uzemljenom (zajedničkom) bazom (a), spoj sa uzemljenim emitorom (b) i spoj sa uzemljenim kolektorom (c).

Nacini vezivanja tranzistora
Načini vezivanja tranzistora

Nacin rada tranzistora. Prvo analiziramo spoj koji je inverzno polarisan( kolektor-baza, cB). Kod ovog spoja struja je određena inverznom strujom zasićenja, koja zavisi od brzine kojom su manjinski nosioci u okolini spoja generisani. Oni se mogu generisati optički, čak i termički ali kog BJTa ideja je da se manjinski nosioci injektuju elektronskim putem. Da bi se injekcija postigla jedan kraj cB spoja, tj.baza spoja je, u neposrednoj vezi sa jednim direktno polarisanim PN spojem (emitor –baza), koji svojim većinskim nosiocima ( šupljinama), snabdeva bazu manjinskim nosiocima (opet šupljinama).
Da bi manjinski nosioci u bazi imali funkciju oni moraju da ostanu nerekombinovani sve dok ne difunduju do granice oblasti prostornog tovara između baze i kolektora. Ovo se postiže malom širinom baze i povecanjem vremena života šupljina u bazi WB««Lp. Da bi tranzistor bio efikasniji, potrebno je da samo jedan tip nosilaca dominira strujom u direktnio polarisanom spoju. Na taj način se iz emitera injektuje šupljine u bazu i one dominiraju strujom. Zbog toga je potrebno da emitor bude jako dopiniran akceptorimaNL »»NB.
Iz predhodnog izlaganja sledi da je smer struja IE u pravcu emitora, dok je smer struje kolektora iz pravca kolektora Ic. Struja baze zahteva nešto dužu analizu, sobzirom da ona predstavlja razliku struje emitora i kolektora koje su inace vrlo bliske. Struju baze čine tri komponente: rekombinacija šupljina putem elektrona u bazi je sigurno prisutna i pored toga što je WB««Lp. Elektroni u tom slučaju nadoknađuju iz kontakta baze.
Zbog direkne pilarizacije, deo elektrona iz baze prelazi na stranu emitora i pored toga što je emitor jako dopiniran. Mali deo struje elektrona dolazi iz kolektrora u bazu kao komponenta inverzna struja zasicenja kolektor-baza i time smanjuje baznu struju.

Komponente bazne struje

IEP- struja koja je usled direkne polarizacije iz emitora injektovana u bazu
IEN- struja elektrona koja je usled direkne polarizacije iz baze prelazi u emitor
IcP- struja šupljina koja je usled inverzne polarizacije iz baze prelazi u kolektor
IcN- struja elektrona koja je usled inverzne polarizacije iz kolektora prelazi u bazu

Tri komponente bazne struje: IB1= IEN , IB2= rekombinacija šupljina u bazi, IB3= Icn

IE= IEp+ IEn , Ic= Icp+Icn, IE= Ic +IB

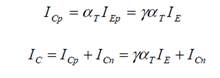
Parametri performansi: eikasnost emitora , transportni faktor baze(αT), strujno pojačanje u konfiguracii sa zajedničkom bazom (αdc), strujno pojačanje u konfiguracii sa zajedničkom emitorom.
Efikasnost emitora. Efikasnost pojačanja struje PNP tranzistora raste kada pri konstantnoj struji emitora IE raste struja šupljina IEp. Zato se definiše parametar:

Efikasnost emitora

Transportni faktor baze (αT). Frakcija struje manjinskih nosilaca koja iz emitora pređe u bazu i difuzijom preko baze pređe u kolektor naziva se trnsportnim faktorom baze za (PNP).

Transportni faktor baze

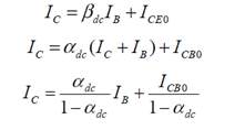
Strujno pojačanje u konfiguraciji sa zajedničkom bazom (αdc)

Strujno pojacanje

gde je IcB0 struja kroz kolektor kada je IE = 0.

Poređenjem zaključujemo:

Strujno pojačanje u konfiguracii sa zajedničkom emitorom .

Poređenjem zaključujemo:

Ulazne karakteristike NPN tranzistora (za tranzistor za male signale).

Izlazne karakteristike NPN tranzistora

Izlazne karakteristike NPN tranzistora (za tranzistor za male signale).


Osnovna primena tranzistora je kao pojačavačke komponente u pojačavačkim kolima i prekidačke komponente u prekidačkim kolima. Iz složenosti tranzistora proizilazi da se u toku eksploatacije mogu razlikovati razlićiti radni režimi. Za potrebe pojaćanja tranzistor se dovodi u aktivni režim. Preduslov za aktivni režim je direktna polarizacija spoja BE i inverzna polarizacija spoja Bc. Granice aktivnog režima ćine zasičenje i zakoćenje. Inverznom polarizacijom spoja BE (pretpostavimo da je spoj Bc več ranije bio inverzno polarizovan zbog aktivnog režima) pomočna
struja padne na nulu i govorimo o zakoćenju.Tranzistor ulazi u zasičenje ako mu se oba PN spoja direktno polarišu. U takvom slućaju se može smatrati da su padovi napona na PN spojevima približno konstantne vrednosti a struje su određene spoljašnjim elementima. Jedino mora važiti nejednakost Ic<bIB. Ako se tranzistor naizmenićno nalazi u zasičenju i zakoćenju i ćini brze prelaze preko aktivnog režima, govorimo o prekidaćkom režimu. U prekidaćkom režimu rade tranzistori u digitalnoj tehnici i u energetskoj elektronici.
Inverzni aktivni režim nastupa ako, u odnosu na aktivni režim, emitor i kolektor zamene
mesta. Ovakva kombinacija se retko primenjuje.Granice oblasti sigurnog rada daju se preko takozvanog SOAR dijagrama (safe operating area . oblast sigurnog rada). Pored osa Ic i VcE navedena oblast je omeđena maksimalnom strujom kolektora (IcM), probojnim naponom BVcE (eventualno BVcB), maksimalnom snagom gubitaka i sekundarnim probojem.
Smisao maksimalnih struja i napona je slićan kao kod dioda. Snaga gubitaka je limitirana pregrevanjem poluprovodnićke ploćice. Hlađenjem kučišta tranzistora dozvoljena snaga gubitaka se može povečati.
Sekundarni proboj je složena pojava koja u prekidaćkom režimu dovodi do stradanja tranzistora. Suština je u tome da u momentu iskljućivanja nastaje velika gustina struje u baznoj oblasti koja je daleko od izvoda baze odnosno pri ukljućivanju struja se skoncentriše oko baznog priključka. U oba slučaja tranzistor gubi kontrolu i od lokalnog pregrevanja propadne (pukne ili se istopi poluprovodnićka ploćica).

Granice oblasti sigurnog rada bipolarnog tranzistora (SOAR): I. maksimalna struja, II. maksimalni napon, III. maksimalna snaga, IV. sekundarni probo

Tranzistorska kucišta

Tranzistorska kučišta: a) kučište SOT-23 za površinsku montažu, b) TO-92, c) TO-126, d) TO-220, e) TO-247, f) TO-3, g) tranzistorski modul velike snage

Testiranje ispravnosti digitalnim multimetrom

Testiranje ispravnosti digitalnim multimetrom :(a) direktno polarisan emitor-bazni spoj; (b) inverzno polarisan emitor-bazni spoj;(c) direktno polarisan kolektor-bazni spoj; (d) inverzno polarisan kolektor-bazni spoj.

2.2. MOS tranzistori. MOS (Metal-Oxide-Semicoductor) tranzistori spadaju u grupu tranzistora sa efektom polja, takozvane FET (Field-Effect Transistor), tako da se mogu sresti i pod nazivom MOSFET.
Zanimljivo je da je princip rada tranzistora sa efektom polja predložen još 1932. godine, ali je prve zamisli o izradi ovih tranzistora bilo moguće ostvariti tek kada se ovladalo planarnom tehnologijom.Tek 1960. godine je proizveden prvi silicijumski MOS tranzistor korišćenjem procesa termičke oksidacije. Nakon toga MOS tranzistor je postao osnovna komponenta integrisanih kola vrlo visoke gustine pakovanja, kao i procesora i memorija.

Struktura MOS tranzistora
Struktura MOS tranzistora

Substrat MOSFETa može biti ( kao na slici) ili n-tipa, dok su oblasti ispod drejna i sorsa od poluprovodnika suprotnog tipa. Struja kroz uređaj protiče od sorsa ka drejnu ( u ovom slučaju elektroni) i tom prilikom se kontroliše naponom na gejtu. Oblast drejna je inverzno polarisana. Kada su nosioci u kanalu elektroni reč je o n-kanalnom MOSFETU, a kada su šupljine o p-kanalnom.

Vrste tranzistora

n-kanalni MOS tranzistor
n-kanalni MOS tranzistor pre (a) i posle (b) uspostavljanja (indukovanja) kanala

p-kanalni MOS tranzistor
p-kanalni MOS tranzistor pre (a) i posle (b) uspostavljanja (indukovanja) kanala.

Kanal može biti ugrađen (na primer difuzijom ili implantacijom primesa) ili, indukovan. Kod MOS tranzistora sa indukovanim kanalom, kanal se formira električnim poljem koje nastaje usled primene odgovarajućeg napona na gejtu.
MOS tranzistor je osnovna komponenta integrisanih kola (Ic) vrlo visoke gustine pakovanja.
U praktičnim izvođenjima danas dominiraju cMOS Ic. cMOS kao osnovnu jedinicu imaju komplementarni par sastavljen od po jednog n- kanalnog i p-kanalnog MOS tranzistora.

Oznacavanje MOS tranzistora u elektricnim šemama
Označavanje MOS tranzistora u električnim šemama


Reference

[1] Stojan, R., „Elektronske Komponente”, Elektronski Fakultet Niš, 2011, Srbija.
[2] Rifat,R., Slobodan, P., Peđa, M., „Zbirka iz Elektronskih komponenata“, Elektronski Fakultet Beograd, 2012, Srbija, ISBN 978-86-7225-051-0.
[3] Nandor, B., „Osnovi Elektronike“, Viša tehnička škola, Subotica, 2001.
[4] Dejan, G.,„ Tranzistori sa efektom polja“, Elektrotehnički Fakultet Beograd, 2211, Srbija.
[5] Allen, P.E., and Holberg, „Pasiv circuit design“, Oxford University Press, 2002,
[6] http://sr.wikipedia.org/wiki/elektronske

PROČITAJ / PREUZMI I DRUGE SEMINARSKE RADOVE IZ OBLASTI:
ASTRONOMIJA | BANKARSTVO I MONETARNA EKONOMIJA | BIOLOGIJA | EKONOMIJA | ELEKTRONIKA | ELEKTRONSKO POSLOVANJE | EKOLOGIJA - EKOLOŠKI MENADŽMENT | FILOZOFIJA | FINANSIJE |  FINANSIJSKA TRŽIŠTA I BERZANSKI    MENADŽMENT | FINANSIJSKI MENADŽMENT | FISKALNA EKONOMIJA | FIZIKA | GEOGRAFIJA | INFORMACIONI SISTEMI | INFORMATIKA | INTERNET - WEB | ISTORIJA | JAVNE FINANSIJE | KOMUNIKOLOGIJA - KOMUNIKACIJE | KRIMINOLOGIJA | KNJIŽEVNOST I JEZIK | LOGISTIKA | LOGOPEDIJA | LJUDSKI RESURSI | MAKROEKONOMIJA | MARKETING | MATEMATIKA | MEDICINA | MEDJUNARODNA EKONOMIJA | MENADŽMENT | MIKROEKONOMIJA | MULTIMEDIJA | ODNOSI SA JAVNOŠĆU |  OPERATIVNI I STRATEGIJSKI    MENADŽMENT | OSNOVI MENADŽMENTA | OSNOVI EKONOMIJE | OSIGURANJE | PARAPSIHOLOGIJA | PEDAGOGIJA | POLITIČKE NAUKE | POLJOPRIVREDA | POSLOVNA EKONOMIJA | POSLOVNA ETIKA | PRAVO | PRAVO EVROPSKE UNIJE | PREDUZETNIŠTVO | PRIVREDNI SISTEMI | PROIZVODNI I USLUŽNI MENADŽMENT | PROGRAMIRANJE | PSIHOLOGIJA | PSIHIJATRIJA / PSIHOPATOLOGIJA | RAČUNOVODSTVO | RELIGIJA | SOCIOLOGIJA |  SPOLJNOTRGOVINSKO I DEVIZNO POSLOVANJE | SPORT - MENADŽMENT U SPORTU | STATISTIKA | TEHNOLOŠKI SISTEMI | TURIZMOLOGIJA | UPRAVLJANJE KVALITETOM | UPRAVLJANJE PROMENAMA | VETERINA | ŽURNALISTIKA - NOVINARSTVO

  preuzmi seminarski rad u wordu » » »

Besplatni Seminarski Radovi