PROTEINI
OTKRIĆE PROTEINA
Proteine je prvi opisao nizozemski hemičar Gerhardus Johannes Mulder
i imenovao švedski hemičar Jöns Jakob Berzelius u 1838. Prvi znanstvenici
prehrambene industrije kao što je njemački znanstvenik Carl von Voit vjerovali
su da je protein najvažniji sastoj za održavanje struktura tijela, jer se
uopstenovjerovalo da "meso čini meso." Središnja uloga proteina
kao enzima u tijelu nije se u potupunosti razjasnila sve do 1926. godine
kada je James B. Sumnera pokazala da enzim uriz je zapravo protein. Prvo
poredan protein bio je inzulin od Fredericka Sangera koji je dobio Nobelovu
nagradu za ovo postignuće u 1958. Prve proteinske strukture bile su hemoglobin
i mioglobin od Maxa Perutza i Sir John Cowderya. Trodimenzionalne strukture
ovih proteina otkrivene su pomocu x-ray analize. Perutz i Kendrew dijele
1962. Nobelovu nagradu za hemiju sa ovim otkrićima. Proteini mogu biti oštećeni
od drugis staničnih dijelova korištenjem različitih tehnika kao što su ultracentrifuzija
i elektroliza te kromatografija. Pojava genetskog inženjeringa omogućilo
je niz metoda kako bi se olakšalo čišćenje. Metode se obično koriste za
proučavanje proteinske strukture i funkcije uključuju imunohistohemiju,usmjerene
mutageneze, te spektrometriju mase.
ODAKLE POTICE NAZIV PROTEIN?
Rijec protein potice iz grcke rijeci proteinos, sto znaci prvi.
STA SU PROTEINI?
Proteini su prirodni polipeptidi ciji se molekuli sastoje od velikog
broja ostataka aminokiselina vezanih peptidnom vezom.
Peptidna veza:

PODJELA PROTEINA
Proteini se mogu dijeliti: prema ulozi,prema prostornom obliku i prema
sastavu.
PODJELA PROTEINA PREMA SASTAVU:
ENZIMI,
SKLADISNI (REZERVNI) PROTEINI,
TRANSPORTNI PROTEINI,
MISICNI PROTEINI,
ZASTITNI PROTEINI,
HORMONI,
TOKSINI,
SRUKTURNI PROTEINI.
ENZIMI
-Rijec enzim potice od grcke rijeci en-u zyme sto znaci
kvasac.
-Enzimi su katalizatori biološkog porekla, sintetišu se u svim živim organizmima.
-U zivim celijama hemijske reakcije se odvijaju na telesnoj temparaturi,u
razblazenim rastvorima,pri atmsferskom pritisku i pri neutralnoj pH vrijednosti
uz pomoc enzima.Razlika izmedju enzimski katalizovanih i hemijski katalizovanih,je
u uslovima pod kojima se one odvijaju.Kod hemijski katalizovanih reakcija
ovi uslovi su drasticniji u odnosu na enzimski katalizovane reakcije.
- Molekuli na koje enzim deluju nazivaju se supstrati, a molekuli koji
nastaju u enzimski katalizovanoj reakciji nazivaju se proizvodi
-Proteinski deo molekule enzima naziva se apoenzim, a neproteinski deo
kofaktor. Kofaktor može biti koenzim ili prostetična grupa, a razlikuju
se po čvrstini veze sa apoenzimom kao i prema specifičnosti
katalize. Aktivna molekula enzima se naziva holoenzim i sastoji se od
apoenzima i kofaktora.
- Enzimi su prvobitno dobijali nazive, najčešće, prema supstratu na koji
deluju uz dodatak sufiksa -aza- (npr. ureaza). Na predlog Komisije za
enzime Internacionalne unije za biohemiju (Enzyme Commission of the International
Union of Biochemistry), 1963. godine prihvaćena je klasifikacija enzima
prema tipu hemijske reakcije koju katalizuje. Prema ovoj klasifikaciji
svaki enzim ima određen broj koji ima 4 cifre. Prva cifra označava rod
enzima (oksidoreduktaze, transferaze, hidrolaze, liaze, izomeraze i liaze),
druga cifra označava klasu, treća cifra označava podklasu, a četvrta,
individualni broj enzima. Primer je enzim ureaza čiji je enzimski broj
E.C.3.5.1.3 i pripada: trećem rodu hidrolaza; petoj klasi, jer raskida
-C-N vezu koja nije peptidna; prvoj potklasi, jer deluje na linearne amide
i ima individualni broj jedan, zato što je prvi otkriveni enzim koji katalizuje
napred opisanu reakciju, npr.
E.C. 3. 5. 1. 3.
   
individualni broj enzima
potklasa (tip akceptora)
klasa (tip donora)
rod (tip hemijske eakcije)
enzimski broj
SKLADISNI (rezervni) PROTEINI
Skladisni (rezervni) proteini imaju ulogu depoa aminokiselina,
koje se, po potrebi, koriste za rast i razvoj embriona. Tipicni predstavnici
ove grupe su ovoalbumin (protein bjelanceta) i kazein
(protein mlijeka).( Rezervni proteini se nagomilavanju u semenima
i jajima i imaju ulogu skladišta aminokiselina koje se koriste za rast
i razvoj embriona.)
Ovalbumin-jaje
Kezein-mlijeko
Gliadin-psenica
TRANSPORTNI PROTEINI
Membranski transportni protein (transporter) je
membranski protein koji učestvuje u prenosu jona, malih miolekula , ili
makromolekula, kao što su drugi proteini kroz bioloske membrane. Transportni
proteini su integralni proteini. Oni se nalaze u membrani i premoštavaju
je. Ovi proteini učestvuju u prenosu supstanci putem posredovane difuzije
ili aktivnog transporta. Njihov mehanizam dejstva je poznat kao nosačem
posredovan transport.
MISICNI PROTEINI
-Misicni proteini su odgovorni za rad misica odnosno kontrakciju misica.
Kako nastaje kontrakcija misica?
-Izmedju snpova vlakana u misicu nalazi se rastresito vezivno tkivo kroz
koje prolaze krvni sudovi i nervi.Do svakog misicnog vlakna dolaze nervni
zvrseci kroz koje stizu impulsi.Kontrakciju misica omogucava prisustvo
proteinskih struktura-miofibrila u svakom misicnom vlaknu.Miofibrili su
napravljeni od proteina miozina i aktina.Njihove niti su postavljene paralelno
i klizeci jedne preko drugih izazivaju skracenje miofibrila,tj.misica.
ZASTITNI PROTEINI
Zastitni proteini imaju odbrambenu ulogu i zastitnu ulogu od stranih
proteina,proteia virusa,bakterija i od povreda.
Imunoglobulin-stvara kompleks sa stranim telom
Fibrinogen-prekursor fibrina pri zgrusavanju krvi
Trombin-komponenta u zgrusavanju krvi
Kako se nase tijelo brani od bolesti?
-Otpornost organizma prema uzrocnicima bolesti naziva se imunitet.
Moze se reci da nas organizam ima dvije linije odbrane.
Prvu liniju odbrane predstavljaju koza i sluzokoza.
Drugu liniju odbrane sacinjavaju leukociti.Prvo stupaju leukociti koji prelaze kroz zidove kapilara,ulaze u napadnuta tkiva,gutaju mikroorganizme i razlazu ih.Ako fagociti ne uspiju da zaustave mikroorganizme,na scenu stupaju bijela krvna zrnca (limfociti).Oni proizvode antitjela,proteine koji onemogucavaju djelovanje stetnih mikroorganizama (antigena).Za svaki antigen limfocit proizvede odredjeni broj antitjela,potrebno je odredjeno vrijeme da odstranimo antigene iz naseg organizma.
HORMONI
Hormoni su organska jedinjenja razlicite hemijske prirode, koji djeluju u mali kolicinama. NJihovo djelovanje je specificno pa nedostatak dovodi do karakteristicnih pro-mjena u organizmu. Rijec hormon potice od grcke rijeci koja znaci "nadraziti" ili staviti u "pokret, pokrenuti".
Covjekov organizam se sastoji iz veceg broja organa, a organi iz raznih tkiva i celija posebne gradje. Da bi organizam dobro funkcionisao, potrebna je dobra medjusobna uskladjenost raznih procesa, koji se cesto odvijaju u raznim medjusobno udaljenim tkivima i organima. Da bi se ovakva koordinacija ostvarila, neophodan je prenos potrebnih "poruka" od jednog do drugog organa, od jednog do drugog mjesta u organizmu. Prenos ovih "poruka", ostvaruje se posebnim signalima nervnog i endokrinog sistema. Ovi sistemi, iako se po mnogo cemu medjusobno razlikuju, imaju osobinu da sintetizuju i izlucuju posebna hemijska jedinjenja. Ova se jedinjenja prema potrebi prenose do nekog drugog dijela organizma i predstavljaju "poruke". Ovakva jedinjenja nazivaju se hemijski glasnici. Hemijski glasnici, koje sintetizuju neuroni cine neuro-hormone, a druge posebne celije sintetizu-ju "klasicne" hormone.
Hormoni se krvlju prenose do mjesta gdje treba ostaviti "poruku", to jest do mjesta djelovanja. To su posebna tkiva, specificna za svaki hormon, tzv. ciljana tkiva. Na celijama ciljanih tkiva nalaze se specificne molekulske strukture, receptori. Oni se mogu nala-ziti i u samim celijama. Hormoni "pronalaze" ciljana tkiva "prepoznavajuci" svoje re-ceptore, reaguju sa njima na specifican nacin i nizom hemijskih reakcija izazivaju meta-bolicki efekat u celiji.
PODJELA HORMONA:
prema zlijezdama u kojima se sintetisu
prema hemijskoj strukturi
Sintetisu se u razlicitim zlijezdama sa unutrasnjim lucenjem (tzv. endokrine
zli-jezde), odakle se luce u krv i krvotokom prenose do tkiva ili organa
(tzv. ciljana tkiva ili organi), u kojima ispoljavaju svoju regulatornu
ulogu. Zljezdane ili opste hormone luce specijalne zlijezde organizma, koje
nazivamo endokrine zlijezde ili zlijezde sa unutrasnjim lucenjem.
U EDOKRINE ZLIJEZDE SPADAJU:
hipofiza
stitna zlijezda
parastitna zlijezda
pankreas
nadbubrezne zlijezde
polne zlijezde
Prema hemijskoj strukturi:
oligopeptidi i proteini (tzv. proteohormoni)
derivati aminokiselina
steroidni hormoni
PROTEOHORMONI
ova grupa hormona se moze podijeliti na dve podgrupe:
hormoni hipofize
hormoni pankreasa
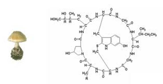
TOKSINI
Toksini su otrovne proteinske supstance.
Naziv toksin potice od grcke rijeci toxikon sto znaci otrov u
strijelama.

Ova strukturna formula predstavlja toksicne stvari u ishrani odnosno
u ovom slucaju je uzet primer pecurke.
STRUKTURNI PROTEINI
Strukturni proteini su proteini koji izgradjuju zastitna i potporna tkiva.
Kreatinin-osnova zubnog tkiva
Kolagen-vezivno i drugo tkivo
Kreatin i mioglobin-misicno tkivo
DNA-dezoksiribonukleinska kiselina
RNA-ribonukleinska kiselina
PODJELA PROTEINA PREMA PROSTORNOM OBLIKU:
VLAKNASTI,
LOPTASTI.
VLAKNASTI PROTEINI
Vlaknasti proteini su izduzeni proteini koji se odlikuju velikom mehanickom cvrstocom i cine glavni organski dio skeleta,misica i nerva,nalaze se u kostima,kosi,misicima,kozi,noktima...ne rastvaraju se u vodi.
LOPTASTI PROTEINI
Proteini koji imaju loptast izgled u prostoru sadrze sferan.
Oni ucestvuju u mnogim procesima u organizmu,ovoj grupi proteina
pripadaju:enzimi,hormoni,hemoglobin...oni serastvaraju u vodi
PODJELA PROTEINA PREMA SASTAVU:
PROSTI PROTEINI,
SLOZENI PROTEINI.
PROSTI PROTEINI
Prosti proteini hidrolizom daju samo aminnokiseline.
Kao primjer je uzet albumin (protein mlijeka).
SLOZENI PROTEINI
Slozeni proteini hidrolizom pored aminokiselina daju i neke druge molekule.
KAO PRIMJER SMO UZELI KEZEIN IZ MLIJEKA,JER JE ZA NJEGA KARAKTERISTICNO STO U SEBI SADRZI FOSFATNU GRUPI H3PO4.


TAKODJE SMO KAO PRIMJER UZELI KAO PRIMJER HEMOGLOMIN,JER JE ON VAZAN ZA SVAKI PROCES KOJI SE ODVIJA U ORGANIZMU. HEMOGLOBIN SE SASTOJI OD CETIRI PEPTIDNA LANCA. U MOLEKULU HEMOGLOBINA POSTOJE CETIRI MJESTA GDJE SE VEZE KISEONIK
UPOTREBA PROTEINA
Proteini se koriste u: ishrani,industrija odece(koza,svila,vuna),indusrija lijepka,fotografske ploce,plasticnee mase,vjestacka vlakna.
ZANIMLJIVOSTI
-1 g proteinaiz hrane oslobađa energiju od 4 kcal (17 kJ)
- preporučuje se energiju namiriti iz ugljenih hidrata i masti, a proteine
nadoknaditi koliko je potrebno organizmu za izgradnju.
-Bjelančevine čine oko 15% - 20% ukupne tjelesne mase odraslog
čovjeka.
-Energetski udio bjelančevina u strukturi obroka odraslih osoba
treba biti oko 12%, a za djecu i sportaše oko 15% do 20% sveukupno unesene
energije.
-Dnevne potrebe za bjelančevinama za odraslu osobu iznose oko
0,8 grama bjelančevina/kg tjelesne mase.
-Količina bjelančevina ne smije prelaziti 30 grama u jednom obroku
jer više organizam ne može iskoristiti.Dnevne potrebe za djecu i mlade
u vrijeme intenzivnog rasta iznose oko 1 - 1,5 grama bjelančevina/kg tjelesne
mase, a za dojenčad oko 2 grama bjelančevina/kg tjelesne mase.
-Treba povećati unos bjelančevina biljnoga porjekla, i to u odnosu
2/3 biljnih prema 1/3 bjelančevina životinjskog porjekla jer suviše životinjskih
bjelančevina u tijelo unosi i neželjene tvari, kao holesterol i masnoće.
-U obrocima treba planirati kombinacije - biljnih i životinjskih
bjelančevina ili mahunarki i žitarica. Piletina, puretina, tunjevina,
govedina, sardine, šunka, kobasice, hrenovke, jaja, sir, sjemenke suncokreta
i sezama, lješnjak, soja, suhe mahunarke imaju sadržaj bjelančevina između
8 i 32%.
PROČITAJ
/ PREUZMI I DRUGE SEMINARSKE RADOVE IZ OBLASTI:
|
|
preuzmi
seminarski rad u wordu » » »

Besplatni
Seminarski Radovi
|