OSTALI SEMINARSKI RADOVI
IZ HEMIJE: |
|
|
|
BIOFIZIČKA HEMIJA
CISTEIN
Cistein je prirodno okružujuća amino kiselina koja sadrži
sumpor i nalazi se u mnogim proteinima, mada u malim količinama. Cistein
je jedinstven među 20 prirodnih amino kiselina koje sadrže tiol grupu. Tiol
grupa može pretrpeti oksidacione/redukcione(redoks) reakcije; kada je cistein
oksidovan može formirati cistin, gde su dva ostatka cisteina
povezana disulfidnom vezom. Ova reakcija je reverzibilna: redukcija ove
disulfidne veze regeneriše dva molekula cisteina. Disulfidne veze cistina
su presudne za definisanje strukture mnogih proteina.
Cistein je često umešan u elektron-transferske reakcije i kao takav se lako
oksiduje. Cistein je takodje deo antioksidanta glutationa.
N-acetil-L cistein (NAC) je oblik cisteina gde je acetil grupa napadnuta
od atoma cisteinovog azota i prodaje se kao dijetetska dopuna. Cistein je
nazvan po cistinu, koji potiče od grčke reči kustis što znači mehur-cistin
je prvi put izolovan iz kamena u bubregu.
  
Naziv po IUPAC: (2R)-2-amino-3-sulfoproranonska kiselina
Formula: C3H7NO2S
Molekulska težina: 121.16
REAKCIJE
S obzirom da cistein sadrži sulfovodoničnu grupu, može pretrpeti redoks reakcije. Oksidacija cisteina može da proizvede disulfidnu vezu sa još jednim tiolom, dalja oksidacija proizvodi sumpornu ili sulfonsku kiselinu.
Tiol grupa cisteina je takođe nukleofil i može da pretrpi adiciju i supstituciju. Tiol grupe postaju mnogo reakzivnije kada su jonizovane, i ostaci cisteina u proteinima imaju pKa vrednosti bliske neutralnim, i zato su često u njihovoj reaktivnoj tioltnoj formi unutar ćelija.[1]
Tiol grupa takođe ima veliki afinitet prema teškim metalima i proteini koji sadrže cistein će vezati metale kao što su živa, olovo i kadmijum.[2]
BIOLOŠKE FUNKCIJE
Zbog sposobnosti da pretrpi redoks reakcije, cistein poseduje antioksidantna svojstva. Cistein je važan izvor sumpora u ljudskom metabolizmu, i iako je klsifikovan kao neesecijalna amino kiselina, cistein može biti esecijalan za odojčad, za starije i pojedince sa određenim poremećajem metabolizma. Cistein može u nekom trenutku biti prepoznat kao esecijalna ili uslovno esecijalna amino kiselina.
Cistein i Glutation: Cistein je važan predhodnik u proizvodnji glutationa u telu i drugim organizmima. Sistemska oralna dostupnost glutationa (GSH) je neznatna; njegova velika količina mora biti proizvedena intraćelijski. Glutation je tripeptidan antioksidant napravljen od tri amino kiseline: cistein, glicin i glutamat. Glutamat i glicin su gotovo dostupni u većini Severno Američkih dijeta, ali dostupnost cisteina čini ga supstratom koji ograničava sintezu glutation unutar ćelije. To je sufohidril (tiol) grupa (SH) cisteina koja služi kao proton donor i odgovorna je za biološku aktivnost glutationa.[3]
Apsorpcija: Slobodna amino kiselina cistein (nabavljen dopunski od strane NAC-a) ne predstavlja idealn sistem dostave do ćelije. Cistein je potencijalno toksičan i spontano se kataboliše u gastrointastinalnom traktu i krvnoj plazmi. Obrnuto, cistein apsorbovan tokom varenja kao cistin (dva molekula cisteina vezana disulfidnom vezom) u gastrointestinalnom traktu je stabilniji nego slobodna amino kiselina cistein. Cistin putuje bezbedno kroz gastrointestinalni trakt i krvnu plazmi i blagovremeno je redukovan do dva molekula cisteina na ulazu u ćeliju.[3]
BIOHEMIJA
Cistein sadrži tiol grupu koja može pokazati nukleofilnost. Neki važni
nukleofili dobiveni cisteinom uklučuju ubikutin ligazu, koji prenosi ubikutin
do njegovih pandana proteina, i kaspaza koja učestvuje u apoptotičkoj
protolizi. Inteini često funkcionišu uz pomoć katalize cisteina. Te uloge
su ograničene do intaćelijske okoline gde je okolina radukovana, i cistein
nije oksidovan do cistina.
Cistein igra važnu ulogu u unakrsnom povezivanju proteina. Ovo povećava
molekularnu stabilnost u grubom ekstraćelijskom okruženju i takđe funkciju
da pruži protolitičku otpornost (s obzirom da je trnsport proteina skup
proces umanjenje njegove potrebe je korisno). Intraćelijski, disulfidni
mostovi između cisteina unutar polipeptida podržavaju proteinsku sekundarnu
strukturu. Insulin je primer proteina sa unakrsno povezanim cistinom gde
su dva odvojena peptidna lanca povezana sa parom disulfidnih veza.
Protein Disulfid Izomeraza katalizuje odgovarajuću formaciju disulfidnih
veza; ćelije prenose dehidroaskorbinsku kiselinu do endoplazmične mreže
koja oksiduje okolinu. U ovoj okolini, cisteini su generalno oksidovani
do cistina i više ne funkcionišu kao nukleofil.

Cistin, prikazana disulfidna veza
DIETETSKI IZVORI
Cistein se može naći u mesu, crvenim paprikama, belom i crnom luku, brokuliju, prokelju, u ovasu, mleku, surutki i pšeničnoj klici. Medđutim, nije klasifikovan kao esencijalna amino kiselina i uglavnom može biti sintetizovana u ljudskom telu pod normalnim fiziološkim uslovima ako je odgovarajuća količina metionina dostupna.
PROIZVODNJA
Interesantno je naglasiti da je trenutno najjeftiniji
izvor materijala iz kojeg stepen hranljivog L-cisteina može biti prečišćen
u velikoj meri je hidroliza molekula u ljudskoj kosi. Druge izvore uključuju
pera i svinjske bodlje. Kompanije koje proizvode cisten hidrolizom se
nalaze uglavnom u Kini. Postoje neke debate da li ili ne konzumiranje
L-cisteina dobijenog iz ljudske kose predstavlja kanibalizam. Iako su
mnoge amino kiseline bile dostupne putem fermentacije već nekoliko godina,
L-cistein je bio nedostupan sve do 2001. kada je Nemačka kompanija predstavila
put proizvodne fermentacijom ( ne ljudskog, ne životinjskog porekla).
Izvor vezanog cisteina (cistina) je nedenaturisan protein
iz goveđe surutke; ovo je isti oblik kao i u ljudskom mleku.
DODACI
Cistein (uglavnom u prirodno okružujućem obliku L-cisteinu)
je iskorišćen kao dodatak u hrani, farmaceutskim i industrijama lične
higijene. Jedna od najvećih primena je proizvodnja raznih ukusa. Na primer,
reakcije cisteina sa šećerima u Majlardovoj reakciji daje ukus mesa. L-cistein
se takođe koristi kao dodatak u procesu pečenja. Male količine (u 10 delovima
ppm) pomažu da se omekša testo i ovako redukuje vreme pripreme.
Derivat cisteina N-acetilcistein (NAC) je često korišćen u lečenju kašlja
tako što raskida disulfidne veze u sluzi i na taj način ga pretvara u
tečnost čineći je lakšom za iskašljavanje. NAC je takođe iskorišćen kao
dietetski proizvod navedem gore, i kao specifičan protivotrov u slučajevima
predoziranja acetominofenonom.
Ponovo, cistein je iskorišćen za raskidanje disulfidne veze kreatina koji
se nalazi u kosi.
Cistein je veoma popularna meta za usmereno označavanje eksperimenata
da istraže biomolekularnu strukturu i dinamiku. Maleimidi će selektivno
napadati cistein koristeći kovalentnu majklovu adiciju. Usmereno označavanje
spina za EPR takođe korsti opsežno cistein.
U njegovoj doktorskoj tezi iz 2006 Ville Salaspuro predlaže da:
Povišeni aero digestivni trakt, rizik od raka, zapažen kod pušača
i alkoholičara
može biti razultat povećanog izlaganja acetaldehidu. Acetaldehid
proizveden u
usnoj dupji tokom konzumiranja etanola je bitno smanjen korišćenjem
L-cistein
oslobađajućim tabletama. Takođe pušenjem unesen acetaldehid može
biti totalno
uklonjen korišćenjem tableta koje sadrže L-cistein.
U izveštaju iz 1994. koje je dalo prvih 5 kompanija za proizvodnju cigareta, cistein je jedan od 599 aditiva koji se dodaje cigaretama. Njegova svrha, medjutim, nije poznata, kao većina aditiva u cigaretama[4]. Njegovo prisustvo u cigaretama može dati dve pogodnosti: delovanje kao sredstvo za izbacivanje sluzi, pošto pušenje povećava stvaranje sluzi u plućima; i povećava blagotvornost antioksidanta glutationa (koja je smanjena kod pušača).
OVCA
Cistein je neophodan kod ovaca da bi prozvodile vunu, medjutim to je esencijalna amino kiselina i ne može biti sintetisana u ovcama, mora biti uzeta kao hran preko trave. Ovo znači da tokom sušnih uslova ovce prestaju da proizvode vunu; međutim, transgenetska ovca se razvila tako da može da stvara svoj sopstveni cistein. Mala koncentracija cisteina je iskorišćena da raskine disulfidnu vezu tokom rastvaranja rekombinovanog proteinskog preparata.
LEK ZA MAMURLUK
Cistein je namenjen kao dodatak lekovima za određene simptome mamurluka.
On direktno deluje protiv otrovnih efekata acetaldehida, delimično toksičnih
proizvoda alkohola u ljudskom telu. Cistein privlači toksin, raskidajući
ga u netoksičan acetat, supstancu sličnu sirćetu. Aktuelna efikasnost
konzumiranja cisteina kao deo leka za mamurluk je nejasna[5]
TIROZIN
Trozin (od grčke reči tyros što znači sir,
kao takvog ga je prvi put otkrio 1846. nemački hemičar Justus won Liebig
u siru[1][2]), 4-hidroksifenilalanin, ili 2-amino-3(4-hidroksifenil)-propanolska
kiselina, je jedna od 20 amino kiselina koju koriste ćelije da
sintetišu proteine. Poseduje bočni lanac fenola sa hidroksilnom grupom.
Na mestu OH grupe postoje 3 strukturna izomera tirozina, koji se nazivaju
para-Tyr (p-Tyr), meta-Tyr (m-Tyr), orto-Tyr (o-Tyr), enzimatski samo
je prvi izomer proizveden iz L-Phe od Phe-hidroksilaze enzima. Druge dve
izoforme, m-Tyr i o-Tyr mogu biti proizvedene kao posledica napada slobodnog
radikala na Phe u stanju sa povećanom oksidacionom naglašenošću.

Naziv po IUPAC: (S)-2-Amino-3-(4-hidroksifenil)-propanonska kiselina
Skraćenice: Tyr, Y
Formula: C9H11NO3
Molekulska masa: 181.19 g/mol
Tačka topljenja: 343 0C
Gustina: 1.456 g/cm3
Izoelektrična tačka: 5.66
pKa: 2.24, 9.04, 10.10

Tirozin je pretvoren u DOPA sa tirozinhidroksilaza enzimom.

Apsorbancija i fluoroscencija tirozina u vodi/odbijaču
Neki od ostataka tirozina mogu biti označeni sa fosfatnom grupom proteinom kinazom. Turozin fosforulacija je podrazumevana kao jedan od ključnih koraka u dtrndukciji signala i regulaciji enzimske aktivnosti. Fosfotirozin može biti detektovan kroz specifična antitela. Ostatci tirozina mogu biti takođe modifikovani adicijom sulfatne grupe, proces poznat kao sulfonovanje tirozina. Tirozin sulfacija je katalizovana tirozilproteinom sulfotrasferazom ( TPST ). Kao fosfotirozin antitela gore navedena, antitela su do skoro bila opisana da na specifičan način detektuju sulfotirozin. Tirozin je takođe prethodnik tiroidnih hormona tiroksin i triodotironin, pigment melanin i biološki aktivni katekolamini dopamin, norepinefrin i epinefrin.
Papaver somniferum, opijum maka koristi se za proizvodnju morfina.
BIOSINTEZA
Životinje ne mogu kompletno sintetisatitirozin, mada on može biti proizveden hidrolizom fenilalanina ako je u obimnim količinama. Biljke i mnogi mikroorganizmi ga proizvode iz prepenata, intermedijer u procesu nastanka šikimata.
Prefenat je oksidaciono dekarboksilizovan uz retenziju hidroksilne grupe da da p-hidroksifenilpiruvat. On se dalje transaminuje pomoću glutamata kao izvora azota i daje tirozin i α-ketoglutarat.

Tirozin hidroksilaza
Tirozin hidroksilaza ( TH ) je limitirajući enzim umešan u sintezu katekolamina kao što su dopamin, norepinefrin i epinefrin.
PRIMENA U MEDICINI
L-tirozin je preporučen, od lekara opšte prakse, kao koristan za gubitak
težine, kliničke depresije, Parkinsonove bolesti i fenilketonuriu; međutim,
jedna studija je pokazala da nema uticaja na podnošenje vežbi. Koristan
je u fenilketonurii zato što fenolketonuristi ne mogu da metabolišu fenilalanin
i bivaju tretirani sa tirozinom i drugim aminokiselinama ekstrahovanim
iz proteina.[3]
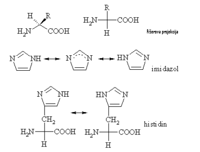
HISTIDIN
Histidin (His, H) je jedna od 20 najučestalijih prirodnoh
amino kiselina predstavljena u proteinima. U ljudskoj ishrani, uglavnom
dečijoj histidin je podrazumevana esencijalna amino kiselina. Bočna strana
imidazola i relativno neutralna pKa histidina znači da će relativno male
promene pH unutar ćelija promeniti njegovo naelektrisanje. Iz ovog razloga,
ova bočna strana amino kiseline je ponašla svoju znatnu uportebu kao koordinacioni
ligand u metaloproteinima, i takođe kao katilitički položaj u određenim
enzimima. Bočna strana imidazola ima dva azota sa različitim osobinama:
jedan je ograničen vodonikom i predaje izolovani par aromatičnom prstenu
i kao takav je slabe kiselosti, pošto drugi daje samo jedan elektronski
par prstenu tako da ima slobodan izolovan par i bazan je. U katalitičkom
trojstvu, osnovni azot histidina je iskorišćen da privuče proton iz serina,
trionina ili cisteina i aktivira ga kao nukleofil. U histidinu proteini
se kreću, histidin je iskorišćen za brzo kretanje protona, on to može
da radi privlačenjem protona sa njegovim osnovnim azotom i pravi pozitivno
naelektrisan intermedijer, a onda koristi drugi molekul, odbijač, da ekstrahuje
proton iz njegovog kiselog azota. U ugljenom anhidratu, pokretni proton
histidina je iskorišćen da brzo pomeri protone iz molekula vode vezane
cinkom da brzo regeneriše aktivni oblik enzima.

Naziv po IUPAC: 2-amino-3-(3H-imidazol-4-il)propanonska
kiselina
Formula: C6H9N3O2
Molekulska težina: 155.16
Histudin vezuje hem grupu sucinat dehidrogenaze.
Velika polu-trasparentna sfera pokazuje prisustvo
metalnog jona
Amino kiselina je predhodnik za biosintezu histamina i karnozina.
Histidin je pronađen u voću kao što su banane i grejpfrut, u mesu i živini,
mleku i mlečnim proizvodima. Takođe je pronađen u korenastom povrću i
u svom zelenom povrću, mada u malim količinama.
Postoje dva enantiomera: D-hisidin i L-histidin.
Histidin je 1896 prvi izolovao nemački fizičar Albrecht Kossel.

ARGININ
Arginin (simbol Arg ili R) jeα-amino kiselina. L-oblik
je jedan od 20 najučestalijih prirodnihamino kiselina. Kod sisara, arginin
je klasifikovan kao semiesencijalna ili uslovno esecijalna amino kiselina,
u zavisnosti od razvojnog stanja i zdravstvenog stanja pojedinca. Odojčad
su u nemogućnosti da efektivno sintetišu arginin, praveći ga nutriciono
esencijalnim za odojčad. Odrasli, međutim su u mogućnosti da sintetišu
arginin u urei.
Arginin je prvi izolovao 1886 god. Švajcarski hemičar Ernst Schulze iz
ekstrata semena obrnike.

Hemijska struktura L-arginina
Naziv po IUPAC: 2-amino-5-(diaminometildinamino) pentanonska kiselina
Formula: C6H14N4O2
Molekulska težina: 174.2
STRUKTURA
Arginin može biti podrazumevan kao osnovna amino kiselina kako je deo bočnog lanca bližeg kičmi dugačak, sadrži ugljenik i hidrofoban, pošto je kraj bočnog lanca kompleksna guanidinijum grupa. Sa pKa od 12.48, guanidinijum grupa je pozitivno naelektrisana u neutralnim, kiselim pa čaki i u mnogim baznim okruženjima.. Zbog konjugacije između dvostruke veze i azotovog usamljenog para, pozitivno naelektrisanje je delokalizovano. Ova grupa je u mogućnosti da formira višestruke vodonične veze.
SINTEZA
Arginin je sintetisan iz citrulina sledećim dejstvom citosoličnih enzima
argininosucinat sinteza (ASS) i argininosucinat liaza (ASL). Ovo je energetski
skupo, pošto sinteza svakog molekula argininosucinata zahteva hidrolizu
adenozin trifosfata (ATP) do adenozin monofosfata (AMP).
Citrulin može biti dobijen izviše izvora:
- iz arginina putem sinteze azotoksida (NOS)
- iz ornitina uz pomoć katabolize prolina ili glutamina/glutamata
- iz asimetričnog dimetilarginina (ADMA) putem DDAH.
Put povezivanja arginina, glutamina i prolina je povratan. Prema tome, umrežavanje ili proizvodnja ovih amino kiselina je dosta uavisno od tipa ćelije i od razvojnog stanja.
U celom telu sinteza arginina se u principu dešava putem intestinalnog-bubrežnog pristupa, u kome epitalne ćelije tankog creva, koje proizvode citrulin uglavnom iz glutaminai glutamata, sarađuju sa kapilarnim ćelijama bubrega koje ekstahuju citrulin iz cirkulacije i pretvaraju ga u arginin koji je vraćen cirkulaciji. Stoga, umanjenje tankog creva ili bubražne funkcije može da smanji endogenu sintezu arginina i pomoću toga poveća dijetetsku primenu.
Sinteza arginina iz citrulina se dešava na niskom nivou u mnogim drugim ćelijama i ćelijski kapacitet sintetisanog arginina može biti znatno povećan pod uslovima da takođe podstiče NOS. Prema tome, citrulin, koprodukt NOS-katalizovane reakcije, može biti prerađen u arginin putem poznatim kao citrulin-NO ili argin-citrulin put. Ovo je demonstrirano činjenicom da u mnogim ćelijama citrulin može supstituisati kao arginin do nekog stepena u podržavanju NO sinteze. Međutim, prerada nije kvantitativna zato što se porad citrulina dobija i nitrat i nitrit, stabilni endoprodukti NO, u NO proizvodnim ćelijama.[1]
FUNKCIJA
Arginin igra važnu ulogu u deobi ćelija, lečenju raka, uklanjanju amonijaka iz tela, imunim funkcijama i oslobađanju hormona. Arginin, uzet u kombinaciji sa piknogenolom[2] ili johanbinom[3], je takođe iskorišćen za poremećaj erekcije.
U proteinima
Geometrija, naelektrisanje i sposobnost da gradi višestruke vodonične veze čine arginin idealnim za vezivanje negativno naelektrisanih grupa. Iz ovih razloga arginin preferira da bude izvan proteina gde može da interaguje sa polarnim okruženjem. Povezan u proteinima, arginin takođe može biti pretvoren u citrulin pomoću PAD enzima. U adiciji, arginin može biti metilisan proteinom metiltransferazom.
Kao predhodnik
Arginin je neposredan predhodnik NO, uree, ornitina
i agmatina; neophodan je za sintezu kreatina; i može biti iskorišćen za
sintezu poliamina (uglavnom kroz ornitin, a u manjem stepenu kroz agmatin)
citrulina, i glutamata. Da bi bio predhodnik NO, (opušta krvne sudove),
arginin je iskorišćen u mnogim uslovima gde je vazodilatacija neophodna.
Prisustvo asimetričnog dimetilarginina (ADMA) inhibira NO reakciju; zbog
toga, ADMA je podrazumevan pokazivač za vaskularne bolesti, a kao L-arginin
je podrazumevan za zdravlje endoteliuma.
Umešanost u doprinošenju rizika od smrti usled srčane bolesti
Skorašnja studija Johns Hopkins testiranja dodavanja L-agginina standardnim tretmanima postinfarkta je implicirala, dopunjavanje L-arginina sa povećanim rizikom od smrti kod pacijenata koji se oporavljaju od srčanog udara.[4]
Hormon rasta
Arginin povećava proizvodnju hormona rasta.[5]
PROLAKTIN
Iako do sad nije proučavano, neki izvori tvrde da arginin pomaže u oslobađanju prolaktina, estrogene smeše koja je pridružena sa laktatom, i kao svaka estrogena smeša može obuzdati lučenje testosterona. Prema tome neki bodibilderi izbegavaju čist arginin, konzumirajući samo količinu prirodno nađenu u proteinu.
IZVORI U HRANI
Arginin je nađen u čokoladi, pšeničnoj klici i brašnu, heljdi, granoli, ovsenom brašnu, mlečnim proizvodima (belom kravljem siru, italijanskom siru, nemasnom mleku u prahu, obranom jogurtu), govedini (pečenju i bifteku), svinjetini (slanini, šunci), orasima (Kokosovom orahu, hikoriji, kašu, bademu, brazilskom orahu, lešniku, kikirikiju), semenu (bundeva, susam, suncokret), živini (piletina, ćureće belo meso), divljači (fazan, prepelica), morskim plodovima (svoja, jastog, losos, škamp, puž, tuna), grašku, kuvanoj soji[6] i u nekim energetskim pićima.
REFERENCE
Bulaj G,Kortemme T,Goldemberg D (1998).“Ionization-reactivity
relationships for cysteine thiols in polypeptides.“.Biochemistry
37(25): 8965-72. PMID 9636038
Baker D,Cyarnecki-Malden G (1987).”Pharmacologic role of cysteine
in ameliorating or exacerbating mineral toxicities.”.J Nutr117
(6):1003-10.Pmid 3298579)
http://quitsmoking.about.com/cs/nicotineinhaler/a/cigingredients.html
http://www.lef.org/protocols/prtcl-004.shtml
Enzymes of arginine metabolism J Nutr. 2004 Oct; 134(10 Suppl):
2743S-2747S; PMID 15465778
Stanislavov,R. and Nikolova. 2003.Treatment of Erectile Dysfuction with
Pycnogenol and L-arginine.Journal of Sex and Marital Therapy,29(3):207-213.
Lebret,T.,Hervéa,J.M.,Gornyb,P.,Worcelc,M.and Botto,H.2002.Efficacy and
Safety of a Novel Combination of L-Arginine Glutamate and Yohimbine Hydrochloride:A
New Oral Therapy for Erctile Dysfunction.European Urolgy 41(6):608613.
Arginine Therapy in Acute Myocardial Infarction JAMA.2006 Jan;
Vol.295#1:58-64; PMID 16391217
Alba-Roth J,Müller O,Schophl J,von Werder K (1988).“Arginine stimulates
growth hormone secretion by suppressing endogenous somatostatin secretion“.J
Clin Endocrinol Metab 67 (6):1186-9.Pmid 2903866
L-Arginine Supplements Nitric Oxide Scientific Studies Food Sorces Retrieved
on 2007-02-20.
PROČITAJ
/ PREUZMI I DRUGE SEMINARSKE RADOVE IZ OBLASTI:
|
|

preuzmi
seminarski rad u wordu » » »
Besplatni
Seminarski Radovi
|
|