OSTALI SEMINARSKI RADOVI
IZ FIZIKE:
|
|
|
|
KVANTNA FIZIKA
Kvant
(od latinskog quantum (množina quanta) = količina, mnoštvo,
svota, iznos, deo) se odnosi na diskretne jedinice koje teorija pripisuje
izvesnim fizičkim veličinama kao što su energija
i moment impulsa (ugaoni moment) atoma . Otkriće da talasi mogu da se prostiru
kao čestice, u malim energijskim paketima koji se nazivaju kvanti dovelo
je do pojave nove grane fizike koja se bavi atomskim i subatomskim sistemima
a koju danas nazivamo Kvantna fizika. Tvorac
kvantne fizike je Max Planck. 1900. je proučavao spektralne linije,
boje topline emitirane iz crnog tijela. Crno tijelo je objekt koji kompletno
apsorbira svu toplinsku radijaciju, doseže ravnotežnu temperaturu i zatim
ponovno zrači apsorbiranu toplinu. Planck je otkrio nekontinuiranost zračenja
energije te zračene topline crnog tijela, koji se odvijao u emisiji jednakih
i konačnih provala paketa energije s jasnim frekvencijama. Planck je pretpostavio
da su vibracije atoma u crnom tijelu bile izvor radijacije. Diskretne linije
energetskog spektra bi se mogle jedino objasniti pobuđenošću atoma u više
energetsko stanje zbog apsorpcije topline. Apsorbirana energija se ponovno
otpušta zračenjem paketa elektromagnetske energije kada se atomi vraćaju
u svoja temeljna stanja. Ti su paketi energije nazvani kvantima, a
energija paketa je proporcionalna frekvenciji zračenja. Planck-ov koncept
kvanta energije je bio u sukobu s klasičnom Maxweell-ovom elektromagnetskom
teorijom, koja je predviđala kretanje elektromagnetske energije u valovima,
poprimajući bilo koje male količine energije, no sigurno ne kvantizirano.
Trebali je niz godina dok se uticaj Planck-ovih otkrića nije konačno prihvatio
i shvatio .
Planck je očekivao kako će netko drugi naći bolje objašnjenje od njegovih
kvanta, no njih je međutim potvrdio Einstein
u kvantima zračenja elektromagnetske energije u eksperimentima s fotelektričkim
efektom, gdje je svijetlosne kvante nazvao fotonima. Ono što je zapravo
Einstein dokazao, je činjenica da se svijetlost sastoji od čestica, fotona.
Einstein je za svoj rad na fotoelektričkom efektu dobio Nobelovu nagradu.
1905 je Rutherford otkrio jezgru atoma, a 1913. je Niels Bohr,
koji se radio s Rutherford-om, predložio model atoma sličan minijaturnom
Sunčevom sustavu u kom elektroni orbitiraju oko jezgre, kao naši planeti
oko Sunca. Putanje elektrona oko jezgre su sferični slojevi nazvani elektronskim
ljuskama na diskretnim udaljenostima od jezgre.
Elektronska ljuska je bila odgovor Bohr-a na otkriće Max Planck-a, zaključivši
kako bi atom mogao egzistirati samo s diskretnim skupom stabilnih energetskih
stanja (elektrona - op. MK).
Objasnio je kako elektroni mogu samo orbitirati oko jezgre u danim ljuskama,
no slobodno mogu kvantno skakati iz jedne ljuske u drugu. Kada elektron
skače (kvantni skok) iz više ljuske (ljuske s višom energijom - op. prev)
na nižu ljusku (ljuska s nižom energijom - op. MK), emitira se foton
određene valne dužine (frekvencije - op. prev). Elektron ne putuje prostorom
između ljusaka, već samo skače s jedne ljuske na drugu. Bohr je objasnio
misterij zašto se elektroni ne sruše u jezgru rekavši kako je nemoguće 'prijeći'
najnižu ljusku. Do danas kvantna fizika nije nikada bila u mogućnosti objasniti
zašto su elektroni prisiljeni orbitirati u danoj ljusci; odgovor je jednostavan
- to je magičnost kvantne fizike! Louis de Broglie je 1924
postavio pitanje u svojoj doktorskoj dizertaciji ‘Recherches sur la
théorie des quanta’ (Istraživanje o kvantnoj teoriji) ne bi li elektroni
mogli u stvari biti i valovi? To je bilo uvođenje dualiteta vala-čestice
u kvantnu fiziku. De Broglie je predložio kako bi se čestice (elektroni)
mogle u jednim slučajevima promatrati kao čvrsti objekti, a u drugim slučajevima
kao valovi.
Kvantna je fizika mogla modelirati to čudno dualističko ponašanje materije
u konzistentnom matematičkom modelu, međutim nikada nije mogla objasniti
zašto se elektron ili foton na primjer ponašaju jedamput kao čestica a u
drugoj situaciji kao val. Kada se promatraju elektron ili foton kao čestica,
sadržani su u ograničenom prostoru, međutim kada se promatraju kao val,
on je svugdje jer se valovi šire u prostoru
. Pokušati to zamisliti je potpuno nemoguće! Stoga su nazvali taj val-česticu
atomskom materijom wav(e)(part)icles (analogijom bi prijevod bio val(čest)ica)
indicirajući njihovu dualističku prirodu.
Kvantna fizika je najčudnija fizika s kojom se suočio ovaj svijet. Otkriveno
je kako na razini subatomskih čestica priroda prestaje biti deterministička.
Sve do tog vremena Newton-ijanska fizika je pretpostavljala mogućnost određivanja
svih svojstava i ponašanja naše fizikalne realnosti, jer je pretpostavljala
pokoravanje te realnosti dobro poznatim fizikalnim zakonima bez izuzetaka.
Kvantna je fizika dokazala kako je ta pretpostavka netočna za elementarne
čestice, na mikrokozmičkoj razini. Na toj razini se priroda počinje ponašati
nejasno i više nije ni u kom slučaju deterministička. Apsolutna sigurnost/izvjesnost
o egzaktnom stanju i svojstvima čestice više nije odrediva; moguća je jedino
kalkulacija u terminima statističke vjerojatnosti. Taj je princip postao
poznat kao Heisenberg-ov princip neizvjesnosti, nazvan po Werner Heisenberg-u.
Izuzetno je važno shvatiti, kako ne-deterministička priroda subatomskih
čestica nije uzrokom pomanjkanja točnosti mjernih instrumenata već je ona
inherentno svojstvo same prirode. Na kvantnoj razini, elektroni skaču u
orbite na višim elektronskim ljuskama s atomima bez ikavog očitog razloga.
Kada skaču natrag na svoje osnovno stanje, emitira se foton (elektromagnetska
svijetlosna energija). To je ponašanje uočljivo u svim našim elektroničkim
uređajima, na primjer elektroničko pojačalo, kao šum. Slučajno ponašanje
prirode na kvantnoj razini je šokirala i zaintrigirala znanstvenike jer
su uvijek vjerovali u Newton-ijanski aksiom o pokoravanju prirode
zakonima koji omogućavaju dobro predviđanje. Fizičari moraju sada živjeti
s principom neizvjesnosti kvantne fizike. Einstein, koji u to nije mogao
vjerovati, je jednom rekao: "Bog se ne kocka"!
Što uzrokuje te kvantne fluktuacije energije na kvantnoj razini, a što onemogućava
predviđanje? Erwin Schrödinger je postavio jednadžbu kako
bi odredio ili brzinu (moment) ili točnu lokaciju elektrona u elektronskom
oblaku (statističkom oblaku vjerojatnosti - op. prev.), konstatirajući kako
se istovremeno ne može odrediti i brzina i lokacija prema principu neizvjesnosti.
Znate ili poziciju elektrona a njegova brzina (moment) je neizvjesna ili
ste pak odredili njegovu brzinu, no njegova lokacija će onda biti neizvjesna.
Za rješavanje te enigme dualističke prirode valice, čestice koja može biti
i čestica i val, kvantni fizičari objašnjavaju taj paradoks, govoreći kako
čestica samo imaginarno egzistira kao superpozicija svih mogućnosti.
U tom stanju čestica ima distribuciju vjerojatnosti sličnu valu, dok se
ne promatra. Čim neki motritelj, u većini slučajeva znanstvenik u svom laboratoriju,
mjeri česticu, kvantna stanja čestice kolabiraju. Superpozicija svih mogućnosti,
kaže se, kolabira u samo jedno fizikalno stanje prije nego ga motritelj
motri. Prije motrenja ona egzistira u transcendentalnom prostoru mogućnosti.
Kada se promatra, ona se 'zamrzne' (kao zaustavljena filmska slika - op.
prev.) u samo jednoj od svih mogućnosti.
To je postala famozna kopenhaška interpretacija kvantne fizike, koju je
predložio Niels Bohr. Kopenhaška interpretacija kaže kako čin svijesnog
motrenja motritelja uzrokuje kolabiranje kvantnog vala, kvantnu superpoziciju
svih mogućnosti. Dakle prema onom što kvantni fizičari kažu, fizikalni realitet
je subjektivan, motritelj igra aktivnu ulogu u onom što priroda manifestira.
U kvatnom području subatomskih čestica mi smo ko-kreatori svoje vlastite
realnosti! Einstein je jednom rekao:
"Nisam siguran je li mjesec još uvijek tamo kada okrenem glavu".
Time je mislio kako kvantna znanost pretpostavlja egzistiranje našeg fizikalnog
realiteta samo kada ga se promatra (stanje čestice), a materija se vraća
u čisto energetsko stanje kada nitko ne pazi na nju (valno stanje).
Kvantna je fizika značila kraj Newton-ijanske objektivne i kauzalno determinističke
realnosti, jer svijesno promatranje znanstvenika igra aktivnu ulogu u fizikalnim
motrenjima.
Danas se to znanje počinje koristiti za razvoj tehnologija kvantne enkripcije
(šifriranja) za prijenos informacija. Presretanje poruke se može otkriti
samim aktom motrenja, a time bi i neautorizirani čitatelj do određene mjere
promijenio sadržaj poruke.
Kvantna znanost predviđa postojanje tako zvanog ne-lokalnog učinka. Ne-lokalni
učinci su učinci koji se događaju istovremeno između fizikalnih objekata
separiranih u prostor-vremenu
. U tom slučaju nikakvo vrijeme nije uključeno između uzroka i učinka.
To je potpuno protivno teoriji Einstein-a, po kojoj ništa u svemiru ne može
prijeći brzinu svijetlosti.
Kada je prvi put čuo o predviđanju postojanja ne-lokalnih učinaka kvantne
znanosti, nazvao ih je 'sablasnom akcijom na daljinu'. Jednostavno nije
u to verovao.
U tekstu Einstein, Podolsky i Rosen, objavljenom 1935 oni predlažu tako
zvanu Einstein-Podolsky-Rosen (EPR) korelaciju kvantno isprepletenih
čestica. Dvije čestice su isprepletene kada su im spregnuta kvantna stanja.
Kvantno isprepletene čestice reagiraju kao jedno tijelo, naizgled nerazdvojeno.
Kada kvantno stanje jedne čestice kolabira u klasično stanje, to čini
i druga kolabirajući u potpuno isto stanje. Da bi se to dogodilo, potrebna
je trenutna komunikacija između dviju čestica, drugim riječima, ne-lokalna.
U EPR prijedlogu je Einstein pokušao pobiti ne-lokalnost kvantno isprepletenih
čestica, tvrdnjom kako kvantna znanost mora biti nekompletna, pa je ponudio
i alternativu s 'lokalno skrivenim varijablama'. 1964. je John Bell teorijski
dokazao stvarnost ne-lokalnog učinka kvantno isprepletenih čestica, što
je postalo poznato kao Bell-ov teorem.
Tako se komunikacija između isprepletenih čestica opet pretpostavila ne-lokalnom,
a time i trenutnom. Ako se stanje jedne čestice promijeni, druga reflektira
to isto stanje. Inžinjeri IBM-a su 1993. radili na kvantnoj teleportaciji
korištenjem kvantne isprepletenosti kao svom kamenu temeljcu. Kvantna
teleportacija je tehnika dematerijalizacije materije na jednoj lokaciji
i 'faksiranje - elektroničko prenošenje' u kvantno stanje na drugom mjestu,
kako bi se na njemu lokalno materijaliziralo. Iako ne očekujemo scene
iz Star Trek znanstvene fantastike u skoroj budućnosti gdje se Scotty-a
portira u matični brod US.Enterprise, ostaje činjenica o realnosti fenomena.
Ono na čemu rade IBM istraživači nije stvarna teleportacija same materije,
već svojstava njenih kvantnih stanja. Teleportacija je dugo bila smatrana
nemogućom jer bi mjerenje, scann-iranje originala prouzročilo kolabiranje
kvantnog stanja i tako razorilo original, degradirajući ga na klasično
stanje. Međutim, IBM znanstvenici su predložili trik u kojem se
scann-iranje ne događa u potpunom kvantnom stanju, već u pola klasičnom
i pola kvantnom stanju, kako se ne bi prekršio kvantni princip neizvjesnosti.
U septembru 2004. BBC viesti su izvestile o proboju u kvantnoj teleportaciji,
koju su ostvarili istraživači u Austriji. Oni su uspešno portirali kvantno
isprepletene fotone na daljinu od 800 m preko Dunava u Beču, korištenjem
optičkih vlakana. To je prvi takav događaj kojim je demonstrirana kvantna
teleportacija izvan laboratorija.
Kvantna teleportacija je glavna karakteristika razvoja novog
super tipa kompjutera koji koristi kvantnu kompjutaciju. Naši postojeći
kompjuteri koriste binarna stanja u memoriji nazvana bitovi, za smpremanje
podataka. Bit može imati vrijednost ili jedan ili nula. U kvantnoj kompjutaciji
klasični su bitovi zamijenjeni s kvantnim bitovima ili qubit-ima. Qubiti,
kada su u kvantnom stanju, zauzimaju superopizicijom obje vrijednosti
(jedan i nula) u isto vrijeme. Dok su qubiti u kvantnom stanju, odvija
se kompjutacija
. Kvantna teleportacija se koristi za pomicanje podataka (qubitova)
iz jednog mjesta u memoriji u drugo, kao što se to događa i u današnjim
kompjuterima. Na kraju kompjutacije kvantna stanja kompjuterske memorije
kolabiraju u klasična stanja. Svi qubiti u memoriji će nakon toga imati
klasične bit vrijednosti ili jedan ili nula! Prednost kvantnih kompjutera,
ako bi se mogli konstruirati, je njihova mogućnost postizanja skoro beskonačnog
stupnja paralelnih obrada što će ih učiniti ekstremno učinkovitim i brzim.
Ne-lokalnost i kvantno isprepletanje je postojalo samo u teoriji, sve
dok Alan Aspect s Instituta za optiku Sveučilišta u Parizu 1982. nije
prvi dokazao istinsko postojanje tih učinaka u svom laboratoriju. Uspio
je porizvesti seriju fotona dvojčeka koji su bili slani u suprotnim smjerovima.
Kvantno isprepleteni fotoni dvojčeki su putovali u svojim kvantnim stanjima,
što znači kako su imali beskonačni broj smjerova spina svi u isto vrijeme
kao kvantnu mogućnost. Kada se jedan od fotona presreo i mjerio, kvantno
stanje spina fotona je kolabiralo u stanje klasičnog spina, koje se mogleo
odrediti. U egzaktno isto vrijeme, dakle s nula vremenskom razlikom, mjeren
je drugi foton dvojčeka, koji je kolabirao u potpuno isto klasično stanje
spina kao i prvi foton, nezavisno o udaljenosti između dva fotona. Eksperiment
je dokazao nužnost ne-lokalne komunikacije između dva fotona, jer kako
bi inače drugi foton znao točan spin svog blizanca.
To je otrkiće uzdrmalo znanstvenu zajednicu do srži. Ako su ne-lokalni
učinci stvarni, mora postojati ili druga dimenzija hiperprostora, druge
fizikalne ravnine postojanja izvan našeg fizikalnog svijeta gdje bi se
ta ne-lokalna komunikacija dogodila ili je Einstein-ova pretpostavka o
nepostojanju mogućnosti za ne-lokalni učinak u našem svemiru, tj. o nemogućnosti
putovanja brzinom veće od brzine svijetlosti, kriva (1)
Nakon Aspect-ovog otkrića, pojavio se fizičar David Bohm sa Sveučilišta
u Londonu s kompletno drugačijim objašnjenjem. Ono što vidimo kao dva
odvojena fotona je možda iluzija, jer su fotoni sjedinjeni u za sada nepoznatoj
razini u jedno. Pretpostavio je holografsku prirodu našeg svemira, objasnivši
to prekrasno slijedećom analogijom. Pretpostavimo postojanje kamera kraj
akvarija, jedne ispred akvarija, a druge sa strane. Pretpostavimo prikazivanje
odvojenih slika dvije kamere koje snimaju plivajuću ribu gledatelju na
dva odvojena ekrana. Gledatelj bi mogao zaključiti nakon intenzivnog proučavanja
slika s dva ekrana, kako vidi dvije ribe koje plivaju sa sinkroniziranim
pokretima (isprepletenim) jer druga riba reflektira svaki pokret prve
ribe. Ono što je David Bohm sugerirao s ovom analogijom, je postojanje
dublje razine realiteta, gdje dva fotona uopće nisu razdvojena. Predložio
je implicitni red u svemiru, jednost na dubljoj razini, koja se raspliće
prema van, razdvojenim stvarima.
Na prelazu je 19. u 20. v. u fizici postojalo nekoliko „kritičnih“
eksperimenata koji se ni na koji način nisu mogli objasniti u okviru dotadašnje
klasične fizike. To su bili npr. problem zračenja crnoga tela, fotoelektrični
efekt i Michaelson – Morleyev eksperiment. Njihov broj nije bio velik
u usporedbi s uspesima koje je u tumačenju prirode imala fizika 19. veka,
no njihovo se objašnjenje
pokazalo vrlo „tvrdim orahom“ koji se nikako nije dao rešiti
u okviru dotadašnjih spoznaja. Objašnjenje je ovih pokusa otvorilo tako
vrata potpuno novom području fizike i potpuno novom kvantnomehaničkom
pogledu na svet koji je imao iznimne kako prirodoznanstvene, tako i filozofske
implikacije.
Jedan je od osnivača kvantne teorije njemački fizičar Max
Planck (1858. – 1947.). On se od 1894. godine bavi problemom
crnoga tijela u nastojanju da odgovori na pitanje kako intenzitet elektromagnetnoga
zračenja crnoga tijela ovisi o frekvenciji zračenja i temperaturi crnoga
tijela. U području su se visokih frekvencija rezultati eksperimenta slagali
s relacijom koju je predložio Wilhelm Wien(1864.
– 1928.), ali se Wienov zakon nije dobro slagao s eksperimentima u području
niskih frekvencija. Niti se relacija koju je predložio lord Rayleigh,
danas poznata kao Rayleigh – Jeansov zakon zračenja, nije slagala s rezultatima
eksperimenta, s time da je neslaganje bilo osobito izraženo u području
visokih frekvencija. Zato je u povijesti fizike to neslaganje poznato
kao „ultraljubičasta katastrofa“, kako ga je nazvao Paul
Ehrenfest (1880. – 1933.). U nastojanju da dobije zakon
zračenja koji će se slagati s eksperimentalnim rezultatima Planck 1900.
godine iznosi smionu pretpostavku o diskontinuiranosti energije. Smatra
da izvor može zračiti energiju samo u diskretnim količinama – kvantima.
Na toj je osnovi izveo zakon zračenja crnoga tijela, koji poznajemo kao
Planckov zakon zračenja ili Planckovu relaciju. Ideja je kvantizacije
energije bila temelj tumačenja svih atomskih pojava te su je primijenili
Albert Einstein, na tumačenje fotoelektričnoga efekta, i Niels Bohr, na
objašnjenje izgleda spektra vodikova atoma. Max Planck je 1918. dobio
Nobelovu nagradu za fiziku.
Fotoelektrični se efekt istraživao od kraja 19. st., ali je njegovo teorijsko
objašnjenje ponudio Einstein tek 1905. godine u radu O jednom
heurističkom gledištu koje se odnosi na tvorbu i pretvorbu svjetlosti.
On pretpostavlja da svjetlost, osim valne prirode, pokazuje i čestična
svojstva, te drži da su fotoelektrični efekt, zračenje crnoga tijela i
fotoluminiscencija povezani s nastankom
i pretvorbama svjetlosti.
Drugi su veliki korak u razvoju kvantne mehanike bile osnove kvantnoga
modela atoma, koje 1913. godine postavlja danski fizičar Niels
Bohr (1885. – 1962.) u radu O građi atoma i molekula (On
the Constitution of Atoms and Molecules). Osim na svojem
matičnom sveučilištu u Kopenhagenu Bohr je nekoliko godina radio zajedno
s Rutherfordom na sveučilištu u Manchesteru, upravo u vrijeme Rutherfordova
otkrića atomske jezgre. Godine 1915. Bohr objavljuje nekoliko radova o
građi atoma i vodikovim spektrima pokušavajući povezati strukturu atoma,
položaj elemenata u periodnom sustavu elemenata i izgled njihovih spektara.
Velik su doprinos razumijevanju spektara kemijskih elemenata dali švicarski
matematičar Johann Balmer(1825. – 1898), švedski
fizičar Johannes Rydberg (1854. – 1919.) i
njemački fizičar Friedrich Paschen (1865. –
1947.). Njihove je eksperimentalne rezultate i način nastanka linijskoga
spektra objasnila Bohrova teorija i time bila jedan od temelja za nastanak
cjelovite kvantne teorije. Daljnje je eksperimentalne potvrde Bohrova
teorija dobila radovima Jamesa Francka (1882.
– 1964.) i Gustava Hertza (1887. – 1975.) koji
su dokazali postojanje kvantnih razina energije atoma. Za svoj je doprinos
istraživanju strukture atoma Bohr 1922. godine nagrađen Nobelovom nagradom
za fiziku, a 1958. godine primio je počasni doktorat Sveučilišta u Zagrebu.
1.1 STEFAN BOLTZMANOV ZAKON
Ukupni intenzitet zracenja crnog tijela proporcionalan je cetvrtom
stepenu apsolutne temperature.
I = σ T4
σ- 5.670 400(40)×10−8 W· m-2· K-4
Ako se npr. temp. tela poveca dva puta, intenzitet zracenja ce
porasti 16 puta
.
1.2
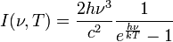
PLANKOV ZAKON
Plankov zakon je jednačina koja nam kaže koliki
je intezitet elektromagnetnog zračenja crnog tijela u zavisnosti od temperature
i frekvencije, odnosno talasne dužine. Napisao ju je Maks Plank 1901.
godine.
Plankov zakon izražen preko frekvencije :
isti zakon izražen preko talasne dužine :

Plankova distribucija u zavisnosti od temperature
| |
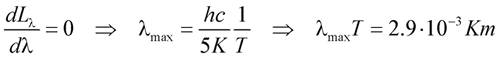
Možemo
se upitati za koju valnu duljinu je intenzitet zračenja maksimalan
|
Odgovor
ćemo dobiti deriviramo li intenzitet zračenja po jediničnoj
valnoj duljini
|

|
To
je Wienov zakon
|
Za
Sunce: T=5300 K, lmax=550 nm
|
Za
ljudsko tijelo: T=34oC =300K, lmax=9.44mm
|
ZAKLJUČAK
Osnovni cilj ovog projekta rada je da pojasni i definiše pojam kvantne
fizike. Takođe, pokušala sam da prikažem osnovna svojstva, podelu i uticaj
kvantne fizike. Međutim, najvažniji i praktični deo rada odnosi se
na sam pojam kvantne fizike kao i njene stvaraoce.
Koristeći dva izvora informacija ( knjige i internet ) o kvantnoj fizici
a takođe i mojim interesovanjem i željom da što dublje predstavim ovaj
projekat, mislim da sam doprinela kvalitetu ovog rada.
LITERATURA
- P. A. M. Dirac, The Principles of Quantum Mechanics (1930)
-- the beginning chapters provide a very clear and comprehensible introduction
- Marvin Chester, Primer of Quantum Mechanics, 1987, John
Wiley, N.Y.
- Slobodan Macura, Jelena Radić-Perić, ATOMISTIKA, Fakultet za fizičku
hemiju Univerziteta u Beogradu/Službeni list, Beograd, 2004. (stara
kvantna teorija i većina utemeljivaćkih eksperimentata)
- www.fizikagroup.com
- www.wikipedia.rs
PROČITAJ
/ PREUZMI I DRUGE SEMINARSKE RADOVE IZ OBLASTI:
|
|
preuzmi
seminarski rad u wordu » » »

Besplatni
Seminarski Radovi
|
|