e-Learning
e-Learing je multimedijalna e-learning platforma, odnosno, aplikacija edukativnog karaktera za predmet Multimedijalni sistemi, koji se predaje na Elektrotehničkom fakultetu u Banjaluci. Ovaj dokument predstavlja dokumentaciju navedene aplikacije i obuhvata:
- Uputstvo za instalaciju
- Uputstvo za upotrebu
- Detaljan pregled koncepata korištenih u projektovanju aplikacije
Uputstvo za instalaciju
Sam proces instalacije je veoma jednostavan i sastoji se iz svega 3-5 koraka:
- Instalirajte Adobe Reader, ukoliko nije instaliran.
- Instalirajte Adobe Director, ukoliko nije instaliran.
- Pokrenite izvršnu datoteku ”e-Learning.exe”.
- Odaberite lokaciju, gdje će se kreirati direktorijum sa datotekama
e-Learning aplikacije. Ovaj korak se po želji može preskočiti, ali tada
će se aplikacija instalirati u tekući direktorijum.
- Pokrenite aplikaciju izvršavanjem datoteke ”Mep.dir”.
Dodavanje novih korisnika
- Otvorite direktorijum gdje je instalirana e-Learning aplikacija.
- Potom otvorite poddirektorijum ”data”, a zatim i ”users”.
- Kreirajte novi direktorijum i imenujte ga korisnickim imenom novog
korisnika.
- Otvorite prethodno kreirani direktorijum.
- Kreirajte dvije datoteke, ”password.txt” i ”rezultati.txt”.
- Otvorite datoteku ”password.txt”, unesite lozinku za novog
korisnika i snimite promjene.
- Otvorite datoteku ”rezultati.txt”, otkucajte razmaknicu
(space) i snimite promjene.
Arhiviranje (backup)
- Otvorite direktorijum gdje je instalirana e-Learning aplikacija.
- Potom otvorite poddirektorijum ”data”.
- Kopirajte direktorijum ”users” na sigurno mjesto.
Uputsvo za upotrebu
Aplikacija e-Learning je kreirana prema standardima kojima odlikuju aplikacije ovog tipa. Intuitivan i jednostavan interfejs je njena vrlina.
Prijava
Pri pokretanju aplikacije dočekaće Vas uvodni prijavni ekran:

Pristupni podaci za osnovni nalog:
- korisnicko ime: korisnik
- lozinka: 123456
Ukoliko želite svoj nalog, pogledajte uputstvo za instalaciju i poglavlje ”Dodavanje novih korisnika”.
Radno okruženje
Poslije prijave dočekaće Vas ovakav ekran:

Na gornjoj strani se nalazi korisnički meni kojeg odlikuju tri funkcije:
- Prikaz trenutno prijavljenog korisnika.
- Prikaz rezultata prethodno odigranih kvizova, do kojeg se dolazi klikom
na korisničko ime.
- Odjavno dugme ”Odjavi se”.
Sa lijeve strane se nalazi navigacioni meni podjeljen u sekcije:
- Materijali – Materijali sa predavanja u PDF obliku.
- Interaktivno učenje – Sekcija sa interaktivnim primjerima.
- Kviz – Kviz Tačno-netačno.
Sa namjerom da se olakša upotreba, svi linkovi u aplikaciju su obojeni crvenom bojom, sa izuzetkom imena aplikacije na naslovnoj stranici.
Materijali sa predavanja
Materijali sa predavanja su kategorisani u četiri sekcije: uvod, zvuk,
slika i video. Klikom na linkove, materijali se otvaraju u zasebnom prozoru
aplikacije Adobe Reader ili nekom drugom PDF pregledniku.
Interaktivno učenje
Ova sekcija je u duhu dugmadi, što znači da se interakcijom sa njima prikazuju različiti slike ili puštaju različiti zvukovi. Otvaranjem sekcije ”Zvučni efekti” dobijamo ovakav ekran:

- Original – Preslušavanje originalnog zvuka.
- Zaustavi – Zaustavljanje reprodukcije zvuka.
- Ostala dugmad – Preslušavanje zvuka sa navedenim efektom.
Opisan način rada važi i za ostale primjere ove sekcije.
Kviz
Najbolji način provjere znanje je kviz. Za tačan odgovor dobija se bod, dok se za netačan gubi.
Sretno!
Detaljan pregled koncepata korištenih
u projektovanju aplikacije
Za izradu ove aplikacije korišten je Adobe Director 11. Iako se na prvi pogled čini da je aplikacija jednostavna, što i jeste, ekipa joj je brojna i sastoji se iz:
- 120 lingo skripti
- 71 labele
- 25 dugmadi
- 23 slike
- 2 tekst polja za unos
- 1 audio objekat
Realno film ima 95 frejmova, od kojih je samo 31 u upotrebi. Za većinu scena je potrebno 15-30 sprajtova, a najveći broj korištenih sprajtova u jednoj sceni je 36 (frejmovi 60-69).
Scenario aplikacije je veoma jednostavan i prikazan je na sledećoj slici:

Aplikacija se može podjeliti u dva logička dijela, prijava
i glavni edukativni dio. Ova podjela je i vidljiva na scenariju gdje prvih
5 frejmova pripada prvom, a ostalih 90 drugom dijelu.
Pošto se sprajtovi sa manjim brojem prvi prikazuju, pozadina se nalazi u prvom kanalu. Ovdje se dva logička dijela aplikacije razlikuju, jer svaki ima svoju pozadinu. Kako su ovo slike, ima sprajtova počinju sa ”img_pozadina_”.
Poslije pozadine dolazi meni, kojeg ima samo drugi dio. Kako meni čine labele, imena sprajtova počinju sa ”lbl_menu_”. Ovdje su obuhvaćena oba menija, korisnički i navigacioni.
Od šesnaestog kanala pa nadalje se nalaze objekti, koji čine aplikaciju onim što jeste. Sprajtovi su slagani kako se pojavljuju pregledanjem odozgo na dolje, mada ima i izuzetaka tog pravila. Najviše vremena u izradi je potrošeno baš ovdje. Ovi objekti poštuju sledeća pravila:
- isti objekti jedne logičke cjeline su iste veličine i poravnati su
- sadržaj se nalazi desno od 170-og piksela slijeva i ispod 60-og piksela
odozgo
- istog fonta i iste boje su
- imenuju se kao TIP_SEKCIJA_PODSEKCIJA_IME, sa eventualnim izuzecima
Skraćenice za tipove su:
- lbl – labela, label
- btn – dugme, button
- img – slika, image
- scr – skripta, script
- tf – tekstualno polje, text field
Radi lakšeg pravljenja, svaka scena ima dužinu od 5 frejmova, od kojih se 4 uopšte ne koriste. Izuzetak od ovog pravila su graficki elementi kod interakcionog učenja. Njihovi sprajtovi nisu duži od jednog frejma.
Grafički elementi se ne koriste kao ekterne datoteke, pa su uvršteni u ekipu.
Zvučni elementi koji se pojavljuju u aplikaciji su smješteni kao eksterne mp3 datoteke u direktorijumu ”data\interaktivno_ucenje\zvucni_efekti”. Njihova reprodukcija se obavlja preko Shockwave Audio objekta.
Materijali sa predavanja, koji su u PDF formatu, se koriste kao eksterne datoteke.
Svaki PDF dokument ima svoju batch skriptu za pokretanje. Kako sam Director nema ugrađene funkcije za otvaranje eksternih datoteka u pregledniku predviđenom od strane sistema, korištene su batch skripte koje to rade za njega. Kako njih vidi kao izvršne datoteke, koristena je funkcija ”open” za njihovo otvaranje.
Pored prethodno navedenih tipova, tu je i par tekstualnih fajlova, u kojima se čuvaju:
- pitanja i odgovori za kviz
- lozinke i rezultati korisnika
Iako su lingo skripte najbrojniji članovi ekipe, skoro sve su zadužene za prelaske sa frejma na frejm.
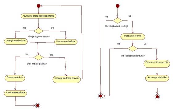
Postoje 4 skripte vrijedne pomena, od kojih 3 rade skoro isti zadatak (obrada pitanja i odgovara). To su skripta za obradu pitanja (lijevi dijagram) i skripta za prijavu (desni dijagram). Kako se kod može detaljnije pogledati u samoj direktorovoj datoteci, on je ovdje izostavljen, a prikazani su samo dijagrami aktivnosti (activity diagram).

Strukura direktorijuma je sledeća:
- data
- interaktivno_ucenje
- zvucni_efekti (mp3 datoteke zvučnih efekata)
- kviz (tekstualne datoteke sa pitanjima i odgovorima)
- materijali (batch skripte za pokretanje PDF datoteka)
- pdf_predavanja (PDF materijal sa predavanja)
- users (direktorijumi sa korisničkim parametrima)
PROČITAJ
/ PREUZMI I DRUGE SEMINARSKE RADOVE IZ OBLASTI:
|
|
preuzmi
seminarski rad u wordu » » »

Besplatni
Seminarski Radovi
|