|
Pojam obveznice kao hartije od vrijednosti
Prije
nego što detaljnije objasnimo termin-obveznice, potrebno je najprije
razjasniti pojam hartija od vrijednosti. Hartije od vrijednosti su pisane
isprave o odredenom imovinskom pravu koje je moguce ostvariti na osnovu
vlasništva nad istim. Pra pocetke hartija od vrijednosti moemo
naci još u Vavilonu (VII vek prije nove ere). Razvojem robno-novcane
privrede i hartije od vrijednosti postaju predmet trgovanja na posebnom
trištu.
Hartije od vrijednosti moemo klasifikovati prema razlicitim kriterijumima:
a) po rocnosti na kratkorocne i dugorocne,
b) prema pravu koje nose na dunicke i
vlasnicke i dr. Dugorocne hartije od vrijednosti su akcije i
dugorocne obveznice, dok su kratkorocne hartije od vrijednosti uglavnom
instrumenti duga.
Obveznice su dunicke hartije od vrijednosti
kojima se dunik (zajmoprimac) obavezuje da ce vratiti zajmodavcu
(investitoru) pozajmljeni novac i platiti kamatu za odredeni vremenski
period.
Drugim rijecima, obveznice su dunicke hartije od vrijednosti
kojima se njihov emitent (u ovom slucaju drava) obavezuje da vlasniku
obveznice (odnosno deviznom štediši) isplati o roku dospijeca
iznos koji je na njima naznacen.
Elementi obveznice
Obveznica se sastoji od: plašta i kamatnih kupona.
Plašt obveznice sadri:
1) oznaku da je obveznica i vrstu obveznice;
2) firmu, odnosno naziv i sjedište emitenta;
3) firmu, odnosno ime kupca obveznice ili oznaku da obveznica glasi na
donosioca;
4) nominalnu vrijednost, ako se radi o garantovanoj obveznici;
6) visinu kamatne stope;
7) procenat ucešca u dobiti, ako je to ucešce predvideno;
8) rokove i mjesto placanja nominalne vrijednosti obveznice i kamate;
9) mjesto i datum emisije;
10) oznaku serije i kontrolni broj obveznice;
11) faksimil potpisa ovlašcenog lica emitenta i pecat emitenta obveznice;
12) oznaku rokova placanja nominalne vrijednosti obveznice i kamate, odnosno
anuiteta (amortizacioni plan).
Kamatni kupon obveznice sadri:
1) oznaku serije i broj kupona;
2) visinu kamate;
3) datum dospijeca i mjesto i nacin placanja kamate;
4) faksimil potpisa ovlašcenog lica emitenta i pecat emitenta.
Prvi dio sadri osnovne podatke o obveznici kao što su oznaka
da je ta hartija od vrijednosti obveznica i koja je vrsta obveznice, naziv
i sjedište emitenta, naziv i sjedište kupca ili pak oznaku da
glasi na donosioca, iznos na koji glasi obveznica (nominalnu vrijednost
obveznice), visinu kamatne stope, datum i mjesto placanja kamate i glavnice
(nominalne vrijednosti), mjesto i datum izdavanja, ime garanta (ako je
obveznica garantovana, procenat ucešca u dobiti (ako je to ucešce
predvideno), oznaku serije i kontrolni broj obveznice, faksimil potpisa
ovlašcenog lica i pecat emitenta.
Kamatni kuponi sadre pak, osnovne podatke o samoj isplati kamate:
oznaku serije i broj kupona, visinu kamate, datum dospijeca, mjesto, datum
i nacin placanja kamata kao i potpis ovlašcenog lica i pecat emitenta.
Ovaj drugi dio obveznice je znacajan zato što vlasnik odnosno imalac
obveznice isti mora pokazati emitentu, zajedno sa plaštom, kada dode
vrijeme za naplatu kamate.
U skladu sa postojecom regulativom, emitent moe da, umjesto štampanja
obveznice, izda potvrdu koja bi sadrala iste elemente kao i plašt
obveznice s tim što ona onda mora biti ovjerena od strane banke kod
koje emitent ima otvoren depo racun.
Klasifikacija obveznica
Obveznice moemo podijeliti prema najrazlicitijim kriterijumima
(prema tipu emitenta, metodu otplate, nacinu obezbedivanja otplate, roku
dospijeca itd).
U zemljama koje imaju razvijeno finansijsko trište postoji
dominacija dugorocnih u odnosu na kratkorocne obveznice. U tim zemljama,
definicija rokova dospijeca za dugorocne obveznice je od 10 do 30 godina,
za srednjorocne od 5 do 10 godina. Na domacem trištu hartija
od vrijednosti postoji dominacija kratkorocnih obveznica u odnosu na dugorocne,
što je karakteristika trišta u razvoju, ali i velikog
opreza investitora.
Postoje razlicite vrste obveznice:
1. prema roku dospijeca, dijele se na:
kratkorocne – koje dospijevaju na naplatu u roku koji je kraci
od godinu dana
dugorocne – koje dospijevaju na naplatu u roku koji je dui
od godinu dana.
2. prema nacinu oznacavanja vlasništva nad njima, dijele se na:
obveznice na ime – koje na plaštu imaju navedeno ime kupca.
Takve obveznice se prenose na novog vlasnika indosiranjem - pismenim izjavljivanjem
vlasnika iste da svoje pravo prenosi na drugo lice. Novi vlasnik, prilikom
naplacivanja svojih prava po osnovu obveznice, obavezno mora prezentirati
i sam indosament.
obveznice na donosioca – koje na plaštu imaju navedeno da glase
na donosioca. One se na neko drugo lice prenose prostom predajom. Njihova
bitna razlika u odnosu na prethodnu vrstu obveznica je u tome što
emitent nece izdati vlasniku novu obveznicu u slucaju njenog gubitka.
3. prema nacinu na koji se ostvaruje pravo na kamatu, dijele se na:
obveznice bez kupona – kod kojih se kamata isplacuje odjednom –
o roku dospijeca i koje kao takve nemaju kamatne kupone
obveznice sa kuponima – kod kojih se kamata isplacuje peridicno
i koje kao takve imaju kamatne kupone koji se moraju prezentirati prilikom
njene naplate.
4. prema nacinu obracuna kamate, dijele se na:
obveznice sa fiksnom kamatom – kod kojih je kamata u momentu kupovine
poznata i ona je fiksna
obveznice sa promjenljivom (varijabilnom) kamatom – kod kojih je
kamatna stopa obveznice promjenljiva i vezuje se za kamatnu stopu neke
kratkorocne hartije od vrijednosti (a to je najcešce ona koja ima
najnii kreditni rizik)
obveznice sa indeksiranom kamatom – kod kojih se fiksna kamata,
u momentu isplate koriguje indeksom rasta cijena na malo ili nekim drugim
ugovorenim indeksom.
5. prema vremenu u kome se isplacuje glavnica, dijele se na:
jednokratne obveznice – kod kojih se glavnica (nominalna vrijednost,
vrijednost na koju glase) isplacuje odjednom – o roku dospijeca
anuitetne obveznice – kod kojih se glavnica otplacuje periodicno.
6. prema nacinu obezbedivanja otplate, dijele se na:
hipotekarne obveznice – kod kojih emitent zalae svoju imovinu
kao garanciju da ce obaveze po osnovu obveznica biti isplacene njihovim
imaocima. Ukoliko emitent ne bude sposoban da iste izmiri izvršice
se prodaja te imovine i tako omoguciti naplata potraivanja koja
vlasnik ima prema izdavaocu obveznice
garantovane obveznice – za ciju isplatu o roku dospijeca garantuje
odredeno pravno lice kao što je na primjer komercijalna banka, što
znaci da vlasnik obveznice moe svoja potraivanja iz obveznice
da naplati od banke ukoliko emitent nema sredstava za isplatu svojih obaveza
po osnovu obveznica
negarantovane obveznice – kod kojih vlasnik svoja potraivanja
po osnovu obveznice koju posjeduje moe da naplati jedino od emitenta.
7. prema mogucnosti otkupa prije roka dospijeca, dijele se na:
opozive – koje u sebi sadre pravo emitenta da ih otkupi prije
roka dospijeca, po unaprijed utvrdenoj cijeni koja je, po pravilu, veca
od nominalne vrijednosti obveznice
neopozive – koje u sebi ne sadre pravo emitenta da ih otkupi
prije roka dospijeca.
8. prema tome ko se javlja kao emitent obveznica, dijele se na:
dravne obveznice – koje emituje drava, odnosno ovlašceni
dravni organ, municipalne obveznice (obveznice lokalnih organa vlasti)
– koje emituju gradovi, regioni, škole, univerziteti i sl.
korporativne obveznice – koje emituju preduzaca bilo da su to javna
preduzeca, transportna i industrijska preduzeca, banke ili druge finansijske
kompanije.
9. Razlikujemo još neke vrste obveznica:
Zamjenljive (konvertibilne) obveznice – koje se mogu zamijeniti
za odredeni broj obicnih akcija, prema unaprijed utvrdenom raciu
Participativne obveznice – koje svojim vlasnicima daju pravo, ne
samo na kamatu vec, i na ucešce u raspodjeli neto dobiti preduzeca
Obveznice sa put klauzulom (put bonds) – koje vlasniku daju pravo
da ih proda emitentu po unaprijed utvrdenoj cijeni.
Nominalna, knjigovodstvena i trišna vrijednost
obveznica
Nominalna vrijednost obveznice jeste ona vrijednost koja je naznacena
na samoj obveznici i koja ce se isplatiti o njenom roku dospijeca. Npr.
ako je emitovana obveznica sa nominalnom vrijednošcu od 1.000,00
KM i sa rokom dospijeca od 10 godina to znaci da ce kupac istih, posle
10 godina, moci da naplati tih 1.000,00 KM od emitenta. Naravno, to ne
znaci da on i ranije nece moci da dode do gotovine koju je uloio
kada ih je kupovao. On ih, naime, moe prodati prije roka dospijeca
na organizovanom trištu i ranije po trišnoj cijeni.
Knjigovodstvena vrijednost obveznice jednaka je njenoj nominalnoj vrijednosti
i po njoj se obveznica evidentira u knjigovodstvu preduzeca emitenta.
Trišna vrijednost obveznice zavisi od kamatne stope koju ta
obveznica donosi kupcu, ostalih investicionih mogucnosti kao i kupcevog
uvjerenja da ce emitent biti u mogucnosti da isplacuje obaveze koje preuzima
emitovanjem obveznica (da isplacuje kamate kao i glavnicu). Teoretski,
trišna vrijednost obveznica se dobija kao zbir sadašnje
vrijednosti kamata koje ce se isplacivati kupcu do roka dospijeca obveznice
i sadašnje vrijednosti glavnice koja ce se isplatiti po isteku perioda
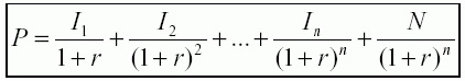
na koji je obveznica emitovana. Iskazano u vidu formule:

gdje su:
P – trišna vrijednost obveznice
I - kamata koja se isplacuje godišnje (vrijednost kamatnog kupona)
N – nominalna vrijednost obveznice
r – preovladujuca trišna kamatna stopa (trišna
stopa kapitalizacije)
n – broj godina do dospijeca obveznice
Ukoliko se kamata placa više puta u toku puta u toku godine ova
opšta formula bi imala slijedeci oblik:

pri cemu bismo sa m oznacili broj placanja u toku godine.
Ukoliko je:
1. ugovorena kamatna stopa jednaka preovladujucoj tada je trišna
vrijednost obveznica jednaka njihovoj nominalnoj
2. ugovorena kamatna stopa manja od preovladujuce, tada je trišna
vrijednost obveznice manja od nominalne i za prodaju obveznica po takvoj
vrijednosti, na primarnom trištu, se kae da predstavlja
prodaju uz tzv. diskont
3. ugovorena kamatna stopa veca od preovladujuce tada je trišna
vrijednost obveznice veca od nominalne i za prodaju obveznica po takvoj
vrijednosti, na primarnom trištu, se kae da predstavlja
prodaju sa premijom.
Trišna cijena obveznice se iskazuje u procentima od njene
nominalne vrijednosti. Npr. ako se za obveznicu cija je nominalna vrijednost
1.000,00 KM njena trišna cijena oznaci sa 120 to onda znaci
da ona iznosi 1.200,00 KM.
Vrste dugorocnih obveznica
Na finansijskim trištima postoji široka lepeza dunickih
hartija od vrednosti. U zavisnosti od emitenta mogu se podijeliti na:
obveznice dravnog trezora, organa uprave i korporacijske obveznice.
Obveznice dravnog trezora su najsigurnije hartije od vrednosti.
Vlada svake drave garantuje da ce investitorima blagovremeno biti
izmirivane obaveze. Stoga, ove hartije od vrijednosti nose mali prinos
s obzirom na nizak rizik koji je sadran u njima.
Obveznice organa uprave emituju dravni, regionalni i lokalni organi
radi prikupljanja sredstava za finansiranje raznovrsnih projekata od javnog
interesa. Ovaj tip obveznica je obicno izuzet od poreza kako bi bio što
privlacniji investitorima. Ukoliko dio prihoda koji se dobije stavljanjem
realizovanih projekata u funkciju slui za isplatu duga, ove obveznice
se nazivaju prihodovne. Obveznice sa generalnom obavezom, pak, emituju
upravni organi koji imaju ovlašcenja za naplatu poreza i tako generišu
prihod za izmirenje duga.
Korporacijske obveznice obicno placaju vece kamate od prethodnih tipova
obveznica, ali i nose veci rizik. S druge strane, one su manje rizicne
od akcija jer ukoliko korporacija bankrotira poverioci (vlasnici obveznica)
se prije isplacuju iz likvidacione mase od vlasnika (akcionara). Korporacijske
obveznice mogu biti osigurane kada korporacija kao sredstvo obezbjedenja
koristi imovinu (opremu, nekretnine i sl.) ili kolateral (finansijsku
aktivu) iz koje ce se naplatiti poverioci ako ne ispuni ugovorene obaveze.
Neosigurane obveznice su garantovane ugledom emitenta i iako izgledaju
rizicnije ponekad mogu imati i bolji rejting od osiguranih obveznica.
Obveznice preduzeca
Da bi preduzece moglo poslovati, potreban mu je kapital. U tom smislu
nije svejedno izdaje li preduzece dionice ili obveznice. Vec smo spominjali
da su vlasnici dionica (kako redovnih, tako i povlaštenih) zapravo
(su)vlasnici preduzeca. Takoder znamo da vlasnik obveznice nije sudionik
u vlasništvu vec da je on vjerovnik odnosno kreditor preduzeca. Iz
toga proizlazi da u odredenim okolnostima vlasnik obveznice ima prednost
pred dionicarom. Tako prije isplate dividendi moraju biti podmirene obveze
preduzeca po kamatama na obveznice; u slucaju (ne daj Boe) bankrota
preduzeca, prvi se iz prodaje imovine preduzeca namiruju vlasnici obveznica,
dok su dionicari sa svojim potraivanjima tek na kraju tune
likvidacijske price. Stoga (iz perspektive ulagaca) opcenito vrijedi da
su obveznice u usporedbi s dionicama manje rizicne.
Izdavanje obveznica moe i iz perspektive preduzeca imati odredene
prednosti pred dionicama jer, primjerice, izdavanje dionica ili vlasnickih
udjela moe oslabiti ulogu i poziciju osnivaca preduzeca pri donošenju
strateških odluka -obveznice ne razvodnjavaju vlasnicku strukturu
postojecih dionicara. U usporedbi s klasicnim kreditom, obveznice uglavnom
stavljaju kapital na raspolaganje po niim kamatnim stopama. Kada
preduzeca prodaju obveznice izravno investitorima, zapravo se preskace
uloga komercijalne banke kao posrednika izmedu onoga što struka zove
novcano suficitarnim i novcano deficitarnim jedinicama, pa je upravo stoga
financiranje Cesto i jeftinije. Osim toga, obveznica je ucinkovitiji instrument
od kredita zato što je preduzece poštedeno zasebnih pregovora
s vise kreditora (ako je npr. rijec o velikim iznosima) - obveznica je
jedinstveni instrument kojim je moguce posuditi velike iznose kapitala
od stotina ili tisuca investitora bez posebnih pregovara na relaciji preduzece
- investitori.
Obveznice javnog sektora
Iako se pod pojmom obveznica javnog sektora najcešce razumijevaju
dravne obveznice koje izdaje ministarstvo financija, u širem
smislu treba im pribrojiti i dugorocne financijske instrumente lokalnih
jedinica uprave i samouprave (tzv. municipalne obveznice) te obveznice
razlicitih dravnih agencija ili fondova.
U vecini zemalja središnja je dravna vlast najveci pojedinacni
posudivac sredstava i dunik s najvecim kredibilitetom. Visoka razina
zaduivanja drave najcešce se objašnjava nunošcu
financiranja naglih i golemih izdataka (npr. rat, velike elementarne nepogode
i sl.), stalnim rastom javnog sektora u mnogim nacionalnim gospodarstvima
te neuravnoteenim dravnim prihodima i rashodima na godišnjoj
razini, ali i potrebom upravljanja gospodarskom aktivnošcu ili jednostavno
vecom politickom prihvatljivosti zaduivanja u usporedbi s oporezivanjem.
U zemljama s razvijenim financijskim trištem, trište
obveznica je jedan od vanijih mehanizama na raspolaganju dravi
u upravljanju gospodarstvom. Ako npr. vlada eli stimulirati gospodarsku
aktivnost, otkupljuje svoje obveznice, što im podie cijenu
i smanjuje prinos. To utjece i na cijene i prinose korporativnih obveznica,
te opcenito smanjuje razinu kamatnih stopa. Istodobno to znaci i dodatnu
injekciju novca u financijski sustav, što rezultira porastom novcane
ponude. Ako pak drava eli zauzdati gospodarsku aktivnost,
moe prodavati obveznice - povecati kamatne stope i smanjiti ponudu
novca.
Dravni dug u odredenoj je mjeri slican je dugu preduzeca. Medutim,
za razliku od preduzeca, drava obicno ne smanjuje svoj dug u apsolutnom
iznosu, vec preferira refinanciranje starih dugova novim zaduivanjem,
oslanjajuci se na rast nacionalnoga gospodarstva i odravanje duga
u odnosu prema BDP-u (bruto domacem proizvodu) u odredenim granicama.
Iako se drava zaduuje i putem klasicnih kredita, dugorocna
priroda dravnih dugova i visoki kredibilitet drave Cine zaduivanje
izdavanjem obveznica Cesto i jednostavnijim i jeftinijim nacinom. Zapravo,
u vecini je zemalja nastanak trišta obveznica potaknula upravo
drava.
Za investicijskog bankara, ali i za svakog drugog investitora, vrlo je
vana Cinjenica da je trište dravnih vrijednosnica
jedan od stupova cjelokupnoga financijskog trišta. Dunicki
instrumenti drave po pravilu su iznimno homogeni u svom obliku i
raspoloivi u takvim kolicinama da je trište izrazito
likvidno - postoji velik obujam trgovine, koji investitoru omogucuju kupovine
i prodaje velikih pozicija bez prekomjernih transakcijskih troškova.
Osim toga, buduci da se drava smatra dunikom s najmanjim rizikom,
prirodno je da se sve ostale obveznice (u odredenoj valuti) usporeduju
s odgovarajucim dravnim obveznicama. To vrijedi za domace obveznice,
ali i za strane obveznice i euroobveznice.
Promatramo li npr. obveznicu izdanu u njemackim markama (DEM), osnovica
za usporedbu (tzv. benchmark) jest njemacka dravna obveznica: u
odnosu prema njemackoj dravnoj obveznici usporeduju se sva ostala
izdanja DEM obveznica domace obveznice njemackih kompanija u DEM, strana
izdanja obveznica (izdanja preduzeca njemackih nerezidenata, izdanja obveznica
drugih drava na njemackom trištu) te sve emisije euroobveznica
u DEM. Sva se izdanja ocjenjuju usporedbom njihova prinosa s odgovarajucim
njemackim dravnim obveznicama. Razlika u prinosu je tzv. spread,
pa se govori o spreadu preko njemacke dravne obveznice. Jednako
je tako za bilo koju drugu valutu dravna obveznica benchmark za
sve ostale obveznice izdane u toj valuti.
Benchmark, ocito, vrlo koristan pri odredivanju cijene i opce ocjene obveznice,
kako na primarnome, tako i na sekundarnom trištu. Ako investitor,
primjerice, razmišlja o ulaganju u obveznicu preduzeca te se odlucuje
izmedu mnogih izdavatelja, prinos je, naravno, bitan Cimbenik. Medutim,
usporedbom tog prinosa s prinosom na dravnu obveznicu investitor
moe bolje procijeniti razlicite kreditne rizike koji se kriju iza
obveznica što ih namjerava kupiti; ako dravna obveznica predstavlja
kamatnu stopu oslobodenu rizika, odbijemo li tu stopu od prinosa na obveznicu
što je namjeravamo kupiti, u spreadu moemo prepoznati kompenzaciju
za rizik koju nudi izdavatelj obveznice.
Rejting obveznica
Investitori koji kupuju obveznice nastoje da izaberu dunicke hartije
od vrijednosti od onih emitenata koji ce im omoguciti blagovremeno isplacivanje
kamate i naplatu glavnice po dospijecu. Medutim, investitor teško
sam moe prikupiti potrebne informacije da bi donio sud o kvalitetu
emisije obveznica. Ovim poslom bave se rejting agencije kao što su
npr. na americkom trištu Moodys Investor Services, Standard
& Poors (S&P) i Fitchs.
Rejting agencije procjenjuju kvalitet emisija obveznica, pri tom, usredsredujuci
se više na analizu finansijskog stanja emitenta nego na to koliko
je emisija atraktivna na trištu. Poznatije rejting agencije
procjenjuju sve emisije vrijedne par miliona dolara i više, bez obzira
da li to emitent zahtjeva ili ne. Ukoliko, pak, emitent zahtjeva procjenu
rejtinga svoje emisije, on mora platiti rejting agenciji odredenu nadoknadu
na ime izvršene analize. S druge strane, postojanje rejtinga pospješuje
emisiju obveznica i njenu prodaju na trištu. Stoga su emitenti
spremni da plate za usluge agencija koje ce im obezbijediti aktivno trište
za njihove obveznice.
Medutim, rejting agencije ne procjenjuju sve vrste obveznica. Obveznice
dravnog trezora (tresuries) ne podlijeu procjeni kvaliteta
jer iza njih stoji drava i smatraju se najkvalitetnijim papirima
pošto drava posjeduje mnoge instrumente kojima moe prikupiti
novcana sredstva za izmirenje svojih obaveza. Korporacijske obveznice
(corporation bonds), najcešce, i obveznice organa uprave (municipal
bonds) su predmet analize od strane rejting agencija.
Korporacijske obveznice u sebi nose rizik neispunjenja ugovorene obaveze
i moguceg bankrotstva emitenta, te se rejting agencije koncentrišu
na analizu finansijskog stanja emitenta i klauzula u ugovoru na osnovu
cega se donosi ocjena kvaliteta emisije. Analiza finansijskog stanja obuhvata
izracunavanje finansijskih racia kompanije (racia likvidnosti, finansijskog
leverida, racia profitabilnosti i dr.), ali i prikupljanje podataka
koji se odnose na velicinu kompanije, njenu vanost u industriji,
konkurentnost na trištu i sve drugo što bi moglo uticati
na njen finansijski poloaj. Takoder, rejting agencije analiziraju
i odredbe ugovora o emisiji obveznica koje mogu uticati na kvalitet emisije.
Tako, ukoliko emitent obezbijeduje kolateral (nekretnine, druge hartije
od vrijednosti i sl.) kojima se osigurava isplata obaveze ili pak formira
otplatni fond (sinking fond) iz koga ce se izmiriti dug ako kompanija
ne moe ispuniti tu obavezu, rejting agencija odreduje viši
kvalitet hartije od vrijednosti. Obveznice sa visokim rejtingom su sigurnije
investicije, ali zato nose male kamatne stope (uslovljenost rizika i prinosa
- risk return trade off). Najkvalitetnije obveznice S&P rejting agencija
oznacava se sa oznakom AAA dok se nii rejting oznacava manjim brojem
slova A, a još nii slijedecim slovima abecede (slicno oznacavaju
rejting i druge agencije).
Kada se procjenjuju obveznice organa uprave pravi se razlika izmedu prihodovnih
i obveznica sa generalnom obavezom. Analiza kvaliteta prihodovnih obveznica
fokusira se na analizu profitabilnosti projekta zarad koga se i emituju
obveznice i iz cijeg prihoda ce se dug otplacivati. Kada su u pitanju
obveznice sa generalnom obavezom, rejting agencije analiziraju zaduenost,
sociološke trendove na teritoriji organa uprave, finansijsku odgovornost
i drugo.
Medutim, vecinom obveznica organa uprave se trguje preko vanberzanskog
trišta (OTC - over the counter market), blizu mjesta emitovanja
ili pak cijelu emisiju kroz direktan plasman otkupljuju lokalne banke,
bogati pojedinci ili firme. Zato mnoge emisije obveznica organa uprave
nemaju potrebu za utvrdivanje rejtinga.
Bez obzira na znacaj i uticaj rejting agencija, pokrenuta su mnoga istraivanja
koja su pokušala da utvrde da li rejting agencije uticu na promjenu
cijene obveznice na trištu ili je u pitanju obrnut proces,
da se prvo dese pomijeranja na trištu koja se tek tada registruju
od strane agencije. U svakom slucaju, prilikom prikupljanja podataka za
ocjenu emisija postoji kašnjenje od par mjeseci te se investitori
ne mogu u potpunosti osloniti na procjene rejting agencija.
Zakljucak
Najkrace receno, obveznica je dugorocni dunicki vrijednosni papir.
To je dunicki financijski instrument jer kupac obveznice (na primarnom
trištu) posuduje iznos na koji obveznica glasi njezinu izdavatelju
(emitentu obveznice). Izdavatelj obveznice "obecava" tijekom
utvrdenoga vremenskog razdoblja imatelju obveznice (vlasniku) godišnje
placati utvrdeni iznos kamata, te o dospijecu obveznice i iznos na koji
obveznica glasi. U biti, rijec je o klasicnom kreditnom odnosu izmedu
izdavatelja i kupca obveznice. Medutim, za razliku od klasicnog kredita,
dunicki financijski instrument moe biti kupljen ili prodan
na sekundarnom trištu.
Zapravo, obveznica je upravo kredit kojim se namjerava trgovati. Iznos
kredita odnosno obveze izdavatelja jest tzv. nominala obveznice. To je
iznos koji se izdavatelj obvezao platiti o dospijecu obveznice, odnosno
iznos na koji obveznica glasi. Kao što se na svaki drugi kreditni
aranman placa kamata, tako se i obveznice izdaju uz odredenu kuponsku
kamatu (nominalnu kamatnu stopu) koja je uglavnom odredena opcim trišnim
uvjetima u vrijeme primarne emisije. Jednom utvrdena, kuponska kamata
vrijedi za cijeli ivotni vijek obveznice. Spomenimo ipak da postoje
i obveznice cija se kamatna stopa tijekom njezina trajanja mijenja (obveznice
s promjenjivom kamatnom stopom), pa cak i obveznice koje ne nose "klasicne"
kamate (tzv. obveznice bez kupona) vec se izdaju ispod nominale za iznos
kamata.
Vrijeme otplate glavnice naziva se dospijecem obveznice. Otplata obveznice
moe biti jednokratna, tj. cjelokupna se glavnica (iznos na koji
obveznica glasi) moe isplatiti o dospijecu obveznice, dok je isplata
kamata periodicna. Suprotno tome, pri serijskim (anuitetnim) otplatama
kamate i glavnica isplacuju se odredenom dinamikom.
Obveznice su pogodan oblik ulaganja za investitore s visokim stupnjem
averzije prema riziku te za smanjenje ukupnog rizika pri strukturiranju
portfelja. Naime, obveznice, za razliku od dionica, nose svojim vlasnicima
fiksne prinose - kamate. Takoder, u hijerarhiji raspodjele poslovnog rezultata
poduzeca i njegove likvidacijske mase imaju nadredeni poloaj u odnosu
na vlasnike dionica, odnosno poduzeca imaju legalnu obvezu isplate trabina
iz obveznica prije bilo kakvih isplata vlasnicima tvrtke koja ih je emitirala.
U slucaju dravnih obveznica, rijec je o vrijednosnim papirima vrlo
visoke sigurnosti s obzirom na to da za isplatu potraivanja po tim
obveznicama jamci drava.
PROCITAJ
/ PREUZMI I DRUGE SEMINARSKE RADOVE IZ OBLASTI:
|
|
preuzmi seminarski
rad
u wordu » » »
"Besplatni
Seminarski Radovi"
SEMINARSKI
RAD |
|