|
Nastanak Svemira
Kada je vreme pocelo ? Odakle smo mi došli ? Koja je naša sudbina
? - Ovo su tri temeljna pitanja ljudskih bica.
Šta je bilo pre pocetka vremena ? Što se nalazi izvan granica svemira
? Da li je moguce putovati unazad u vreme ? Još tri nova pitanja
se pojavljuju koja oduševljavaju mlade ljude.
Svako od nas se može prisetiti postavljanja ovakvih pitanja kao deca.
Nažalost, niko od nas nije znao odgovor.
Teorije
O nastanku svemira postoji više teorija i više polaznih gledišta u razmatranju
njegovog začetka i porekla(teološko i naučno). Ove teorije su deo nauke
koja se zove kosmologija i ona se bavi isključivo istraživanjem po naučnom
metodu. Pošto nije moguce gledati celokupan svemir, jer do danas njegove
granice nisu poznate naučnici su se složili da u okviru fizičke kosmologije
osnovni objekat bude tzv. Univerzum (razlikuje se od pojam “Outer Space”
ili “Space”) znači totalna materija – prostor-energija oko nas u kome se
neprekidno odvijaju različiti procesi.
Neke od teorija o mogućem scenariju nastavka u izvornom obliku su “Big
Rip”/Veliko Cepanje, “Big Bounce”/Veliki Skok, “Big Crunch”/
Veliki Krah. Ili nekada rivalski model Steady State theory (teorija
stabilnog stanja). Opšteprihvaćen je model Velikog Praska, a pomenute teorije
su neke od teorijski mogućih faza nakon Velikog Praska.
Model Velikog Praska ne treba bukvalno shvatiti kao nekakvu
veliku eksploziju ili prasak, to je uopšteno sam događaj stvaranja materije,
energije, vremena i prostora.Opšte prihvatanje ovog modela nije se dogodilo
odmah po njegovom izlaganju 1927, već je na taj trenutak čekalo do 1965
i sjajnog otkrica CMB zraka(kosmičkog pozadinskog zračenja). Otkriće CMB-a
je svom snagom pružilo potporu danas glavne teorije u kosmologiji ‘Velikog
Praska. Pošto nije bilo podesnije reči za takav veličanstven i bitan događaj,
uzeta je reč prasak. Kao tvorac imena spominje se Belgijski katolički
svestenik Žorž Lemetr (Georges Lemaitre). Prema tom modelu početak
svega je od prvobitne “pramaterije” beskrajno guste, beskrajno vrele i
prepune energije. Koja je predstavljala gravitacioni singularitet (centralni
deo crne rupe gde sve čestice “isčezavaju” ili prelaze u neki dugi vid
energije te ne postoji nijedna konačna mera).
Teorija stabilnog stanja nije više mogla da odrzi dah pred novim dokaziima
koji su isli u prilog Velikom Prasku i njeni principi stalnog širenja
i kreacije nove materije su potisnuti u kraj. Mada i model Big Bang ima
sličan koncept o neprestalnom širenju(inflacijska teorija )ali on ne počiva
na konceptu materije vec jednog novog pojma –crne energje, sto je ispravno
u svom načelu ali nije tako intuitivno za shvatanje, jer u životnim uslovima
niko nije imao posla sa nečim sto se zove ‘’crna energija’’ ili Dark matter-Dark
Energy.
Postoji još jedna Multiverse teorija po kojoj je naš univerzum jedan od
više nezavisnih univerzuma koji se razlikuju po dimenzijama, zakonitostima
i obliku. Naravno postoje i neke napredne teorije ali se one nadovezuju
na Big Bang i nisu u opoziciji s njim, uglavnom su na osnovi kvantne teorije
i odnose se na sile koje održavaju kosmos –teorija struna.
Ključna decenija za ustanovljavaje danas najsveobuhvatnije teorije su
od 1920 do 1930. Jedan veliki istraživač stvorio je ključnu kariku u teoriji
velikog praska – Edwin Hubble .To je izbacilo u prvi plan profesionalnu
astronomiju kao osnovno sredstvo za istraživanje u kosmologiji, danas
kad pričamo o teorijama nastanka sveta trebamo se više osloniti na konkretnije
dokaze koje nam pruža astronomija.
Pre nastupanja moderne kosmologije, vodila se prilično velika rasprava
oko toga kolika je veličina svemira i kakav je njegov oblik. U 1920. godini
uzela je maha čuvena debata na ovu temu između Harloa Šejplija (Harlow
Shapley) i Herberta D. Kertisa (Heber D. Curtis), u kojoj
se Šejpli zalagao za mali svemir, veličine naše galaksije Mlečni put,
a Kertis je tvrdio da je svemir mnogo veći od toga. Ovo pitanje bilo je
razrešeno u nadolazećoj deceniji sa poboljšanjima u opažanju kosmosa koja
su donela Hablova astronomska osmatranja. Edvin Habl je većinu svog profesionalnog
rada na astronomskim osmatranjima učinio na opservatoriji Maunt Vilson,
(Mount Wilson observatory), koja je imala u to vreme najveći
teleskop na svetu. Njegova osmatranja promenljivih zvezda, Cefeida, u
spiralnim galaksijama omogućila su mu da izračuna udaljenost do tih kosmičkih
objekata. Na njegovo iznenađenje, udaljenost ovih objekata bila je toliko
velika da bi oni trebalo da budu smešteni poprilično daleko izvan našeg
Mlečnog puta. Ove zvezdane nebule (grupacije) najpre su opisane kao “svemirska
ostrva”, da bi tek kasnije dobile naziv galaksije.

U naučnom razmatranju samog začeća kosmosa ne možemo otići dalje od Plankove
ere što je period od 0 do 10-43 sec koja se odigrala pre približno 14
milijardi godina. Kada je u pramateriji vladala kvantna gravitacija i
kvantne zakonitosti, u nekoliko veoma kratkih trenutaka nakon toga se
dogodila integracija svih poznatih sila u okviru koji raspoznajemo, ali
je i do dan danas poreklo gravitacije
je slabo shvaćeno. Ova teorija se oslanja na kvantnu teoriju čiji je tvorac
Max Planck, pa je po njemu dobila ime. Ipak dan danas cela unifikacija
sila i materije nije potpuno objašnjena ni preko teorije struna ni preko
gore pomenute kvantne geometrije i kvantnih polja.
Sledeća bitna hipoteza je morala bit postavljena da bi teorija imala stabilnu
osnovu. A to je da položaj svih zvezda,galaksija odgovara gravitacionom
ekvilibrijumu, jel u suprotnom slučaju doslo bi do kolapsa celog univerzuma
usled ubrzavanja i međusobnog privlačenja.Izmedju ostalog po teoriji relativiteta
važi da veliki masivni objekti u četvorodimenzionalnom prostoru krive
prostor-vreme pa tako privlače manje objekte, a u takvom neravnotežnom
stanju sve bi se svelo na Big Crounch ili krah univerzuma.
Osnove Kosmologije
Razvoj
Kosmologija se istorijski dugo razvijala od antičkog perioda pa sve do
dan danas. Od civilizacija Vavilona, Egipta i Grčke, kada su sva astronomska
posmatranja vršena ‘’golim okom’’ da bi se zadovoljila naucna znatizelja
pojedinih naucnika koji su se prvenstveno bavili geometrijom i filozofijom,
iz kojih se izrodila drevna astronomija (Hiparh, Eratosten, Ptolemej,
Arhistarh, Anaksagora,-Aleksandrijska skola, Pitagora,
Aristotel). Čak
i sa primitivnim sredstvima su uspeli da odrede Obim zemlje, meseceve
periode i ustanovili su da se zemlja okreće oko sunca(što je u srednjem
veku predstavljalo dilemu). Od toga doba pa sve do Galileja nije nikakav
napredak učinjen u razmatranju kosmosa(mada je Nikola Orezmo imao naprednih
ideja, nije hteo da ih objavi jer je bio katolički biskup). Galilej je
razvio neke matematičke modele i usavrsio optiku kojom je pokrenuo revoluciju
u kosmologiji, ranije je u 15-om veku Nikola Kopernik prvi hrabro istupio
pred katoličkom crkvom i podržao heliocentrični model.Napredovanje su
omogućili Tico Brahe, Johan Kepler, i naravno Galileo Galilej (galilejevski
relativizam). Ali najznacajniji pomak je napravio ser Isak
Njutn svojim zakonima, uvođenjem pojma
gravitacije.Značajan je bio i rad Fridriha Besela koji je prvi uspešno
koristo paralaksu za merenje. I naravno ogroman doprinos kosmologiji je
učinio i Albert Ajnštajn sa
svojim teorijama relativiteta što je osnova moderne kosmologije.
Merenja
Najveći problem u astronomiji, a samim tim i u kosmologiji bio je metod
kojim se tačno da utvrditi udaljenost novog objekta u svemiru. Jer se
postavlja pitanje da li imamo nekakav empirijski uzor i potporu kada se
govori o velicini i starosti univerzuma(što nam nikako ne može biti poznato
iz iskustva). Neke od metoda se svode na:
• Paralaksu (poželjno samo za manje udaljene objekte – do 103 svetlosnih
godina)
• Vreme putovanja svetlosti - interferimetrija
• Poređjenjem preko poznatih razmera (grub model,preko spektralnih linija)
• Poređenje preko vidljivosti objekta u odnosu na standardni etalon -
standardne sveće (prilično slaba tačnost)
Najranija prilično tačna merenja su delo Fridriha Besela koji je vršio
merenja u toku godine posmatrajuci jednu zvezdu. Postupak se svodi na
uočavanje pomeraja zvezde od jedne lučne sekunde na zamišljenoj kružnici,
kada se određuje prvi parsek ~ parsec tj deo vertikalnog rastojanja do
zvezde u zamišljenom pravouglom trouglu, a takođe nam je poznata astrološka
jedinica ~ astrological unit što predstavlja udaljenost zemlje od sunca,
pa primenom trigonometrijskih funkcija dobijemo stvarnu udaljenost objekta.
Paralaksa je osnovni metod merenja i predstavlja standard kalibracije
za sve ostale metode.
Merenja su bitna jer preko njih sklapamo kartu svemira i to nam omogućava
uspesnije istraživanje i napredak u kosmologiji. Obično je za tačnije
rezultate potrebna sofisticirana kombinacija više ovih metoda. A kako
je vidljivi svemir svuda oko nas u krugu od 40 milijardi svetlosnih godina
i imamo za posmatranje više od 100 milijardi galaksija posao je ogroman.
Dok se relativna pozicija zvezda određuje interferometrima(talasna optika).
Apsolutnih pozicija nema jer kako se okrecu galaksije oko svojih sredista
tako i zvezde kruze.Ovo se prati i s vremena na vreme preko doplerovog
efekta i ponovnim proračunom, pa staističkom obradom na kraju dobijamo
galaktičke karte. Posao već u načelu zvuči dosta zahtevno. I pored svih
poteskoća usled drugačijih zakonitosti prostora univerzuma dodatne probleme
stvara i ‘’redshift’’ ili crveni pomak. To je pojava da svetlost iz daljine
svemira ima tendenciju da ide ka crvenom delu spektra pa samim tim stvara
iluziju ljudskom oku o predstavi boje posmatrane zvezde. Štaviše Edwin
Hubble je postavio glavni zakon moderne kosmologije koristeci pojave crvenog
pomaka i Crne Energije (Dark Energy).
Pojmovi u kosmologiji
Parseck (pc) – paralaksa od jednog lučnog sekunda. Da
bi se dobio pojam kolika je veličina u pitanju na primeru od svemirske
sonde Voyagera koji se vec 30 godina udaljava od zemlje a prevalio je
razdaljinu od 5.1x10-5 parseka. Ili se moze reci da je to daljina 206265
× udaljenost zemlje od sunca ili 3.26 svetlosnih godina. Parsek se može
koristiti i kao jedinica zapremine, samo sa kubnim eksponentom. Otprilike
udaljenost medju zvezdama je reda kiloparseka (Kpc), medju galaktičke
razdaljine su reda megaparseka (Mpc).
Svetlosna godina (ly) – dužina koju svetlost prevali
za vreme od jedne godine. Veoma intuitivna jedinica ali na nesreću kao
i sve takve (palac,stopa,galon) nije zgodna za proračune.Svetlosna godina
iznosi tačno: 9,460,730,472,580.8 km.
Redshift(Z) – crveni pomak, smanjivanje stvarne frekvencije
svetlosti zvezda i povecacnje talasne duzine usled delovanja
gravitacije kosmosa tj crnih rupa, gravitacionih sociva. Crveni pomak
može biti pozitivan ili negativan Z=(λ - λ0)/λ0

Dark
energy – hipotetička pretpostavka forme energije koja prožima
univerzum, drzi njegov balans i izaziva njegovo dalje širenje. Naučnici
smatraju da je 72% totalnog odnosa masa-energija univerzuma crna energija.
Za crnu energiju pretpostavlja se da ima karakter vakuuma ili negativnog
pritiska.
Dark matter – crna materija isto hipotetički pretpostavljena
forma materije koja se najviše ispoljava kao pojava gravitacionih sočiva
tj odbija gravitacione sile. Za neke objekte u svemiru se pretpostavlja
čine ovaj vid materije: crne rupe,sivi patuljci(neformirane zvezde), ili
antimaterija, a ne barjonska materija.
Faktor gustine kosmosa (Ω) – to je odnos prosečne gustine
materije i njene kritične vrednosti tj . Uopšteno se koriste za grafik
mogućih ekspanzija kosmosa. Moze biti Ω >1 tj da pretpostavimo da je
kosmos kružnog oblika i da je sudbina kosmosa Big Crounch. Ako je Ω<1
onda je univerzum hiperboličan sto znači da je sudbina kosmosa Big Freeze.
I na posletku ako je Ω=1 onda smo u Euklidovskom kosmosu i on nastavlja
sa inflacijom sve do nekog ustaljenog stanja i sudbina je Big Rip.
CMB (Cosmic microwave background) – kosmičko pozadinsko
zračenje, zaostatak zračenje od vremena Velikog Praska. To zračenje je
blisko zračenju crvene linije apsolutno crnog tela i iznosi od 2725-3000K.

Slika levo je kosmičko zračenje Mlečnog Puta, a slika desno je kosmičko
zračenje vidljivog svemira. Na slici crveno zračenje spektometrom je definisano
na samo 4 K, a plavo je 0 K, inače to nisu tvarne vrednosti, tolika je
osetljivost svemirske sonde.
Crne rupe (Blackholes) – tačke u kosmosu s veoma velikom
masom koja je veća milijardama puta od uobičajene zvezde a njen prečnik
je isti ili mnogo manji od prosečne zvezde. Crne rupe usisavaju u sebe
sve sile, materiju, svetlost i u njima vlada singularitet kao pre velikog
praska,u njima ne postoje mere ni konačne dimenzije .
Kvazari (quasars) – Crne rupe koje izbacuju užarenu materiju
iz sebe tj. isijavaju svetlost najjaču u kosmosu. I to su najudaljeniji
objekti koji su detektovani.
Pulsari (pulsars) – Smatra se da su to neutronske zvezde,
tj ostatak od Supernove koje se polako hlade, i imaju 10 × masu Sunca
pa zbog svog sastava emituju pulsirajuce elektromagnetne talse po kojim
su dobili ime.Po nekim teorijama pulsari prelaze u crne rupe i da su ti
talasi gravitcione prirode(ako imamo binarni sistem od 2 pulsara koji
orbitiraju).
Supernova (supernove) – Smt Zvezde, dešava se kod većih
i sjajnijih zvezda od našeg Sunca. Po jednom zakonu one do četiri puta
brže gube helijumski materijal te se brže sagorevaju u sve teže i teže
elemente do teških metala, kada se dešava jaka eksplozija koja baca daleko
sve elemente koji su nuklearnim reakcijama stvoreni u zvezdi tako da oslobađa
ogromnu nuklearnu energiju a lakše elemente raspršuje u vidu zvezdane
prašine od koje se reverzibilnim procesom formiraju neke nove zvezde i
planete.
Zvezde (Stars) – Su objekti u kosmosu koji nastaju u
spiralnim kracima galaksija pod dejstvom gravitacione energije koja je
ostala od Supernove pod čijim se dejstvom mase vodoonika i helijuma zbijaju
u zvezdano jezgro gde se pritisak medjunuklearnih sila povećava što dovodi
do inicaijlnog sagorevanja i nastanka helijumskog jezgra. Tada se može
smatrati da je rođena nova zvezda čija će sjajnost zavisiti od skupljene
mase vodoonika i helijuma i mase zvezdanog jezgra.Zvezde imaju svoje životne
cikluse koji se mogu završiti Supernovom ili kao u slučaju našeg Sunca
koje će postati prvo Crveni džin pa Beli patuljak sa jezgrom od ugljenika
i nebulom od jonizovanog gasa sličnom kao i ostale u Mlečnom putu.
Nebule(nebulae) – magličaste formacije u kosmosu koje
nastaju od jonizovanog gasa i ostataka ugašenih zvezda. Postoje difuzione
nebule koje se lepo vide na teleskopima ili planetarne nebule koje se
formiraju oko Belih patuljaka i jonizonovanog vodonika.
Galaksije – Zvezdani i planetarni sistemi raspoređeni
u formaciju diska ispunjenog zvezdanom prašinom i gasom koji se okrece
oko vretenastog jezgra-centra galaksije. Oblik naše galaksije je kao logaritamska
spirala sa kracima(Spiralne ruke) U njenom centru se nalaze ogromne mase
vodoonika i smatra se da je to ‘kolevka zvezda’ ili možda supermasivna
crna rupa. Naše Sunce se nalazi na oko 7 do 8.7 kpc udaljeno od centra
galaksije. Sunce kruži eliptičkom putanjom oko centra galaksije i osciluje
gore dole i potrebno mu je oko 225 miliona godina da pređe galaktičku
godinu. Galaksija se pokreće 650 km/s prateći Hablov tok.
Galaktički Skupovi (clustes) – Binarni skupovi od po
2 spiralne galaksije npr. Andromeda i Mlečni put koje se približavaju
jedna drugoj.Predviđanja su da će se sudariti za 4 milijarde godina. Ovi
skupovi mogu biti delovi superklastera od preko 50 poznatih galaksija-Virgo
superklaster.
Hablov tok – to je pretpostavljena linearna putanja po
kojoj se šire galaksije(odnos hablove konstante i ‘’prave udaljenosti’’)
Zakoni kosmologije
Neki od najbitnijih zakona za razumevanje kosmoloških principa su:Hablov
zakon, Teorija generale relativnosti, a generalno se može primeniti na
gotovo svaki sistem nebeskih tela i Keplerov zakon.
Edwin Hubble je uveo relaciju medju crvenim pomakom i udaljivanjem
galaksija tj. širenja kosmosa. Ugrubo to je korelacija izmedju povećanog
crvenog pomaka i udaljenosti galaksija. Habl je do svoga otkrića došao
posmatrajući Cefeide ( izraz koji je označavao ‘’promenjive zvezde’’)
u spiralnim kracima galaksije.
H0 – Hablova konstanta je odnos crvenog pomaka i udaljenosti date galaksije,
koja je uvek stalna tj konstantna.Može se odrediti (najbolje) preko λCDM
modela koji je zasnovan na merenju pozadinskog kosmičkog zračenja. Mada
u stvarnosti postoji mnogo kompleksnih načina za njeno izračunavanje nikada
se ne dobija tačna vrednost, za sada j u rasponu od 63 do 77km/s/mpc.
Jedan od tih načina je preko Fridmanove jednačine koja glasi:
H
,
ova jednačina uzima kao parametre: fizičku materiju,crnu materiju,crnu
energiju,sklarni spektralni indeks,fluktuacije zakrivljenosti prostora,optičku
dubinu.
D – je ‘prava udaljenost’galaksije ili diferencijal što
znači da se ova udaljenost tretira kao neprekidna funkcija u vremenu.
Meri se uz uzimanje u obzir kosmološkog vremena, tako što se formira zamišljeni
lanac od specifičnih tački posmatranja, između dve opservatorije koje
mere udaljenost do datog kosmičkog objekta (galaksije, zvezde) pa se recesivno
meri udaljenost između zamišljenih tačaka da se dobije suma udaljenosti
između opservatorija koja se statistički obradi i na kraju se dobija najtačnija
udaljenost.
Drugi deo relacije povezuje brzinu crvenog pomaka i brzinu udaljavanja
preko 
Gde je υr s brzina crvenog pomaka, a c je brzina svetlosti. Po ovoj relaciji
se vidi da brzina crvenog pomaka lako prevazilazi brzinu svetlosti.
I preko Fric-Doplerove formule:
Gde je posmatrana talsna dužina,a emitovana talasna dužina npr α linije
vodoonika sa udaljenog kvazara. υr s nije baš uporediva sa realnim brzinama
i može se tvrditi da je υr s = υ.
Preko ovih veličina mi teorijski možemo definisati i Hablovo vreme i Hablovu
dužinu.:
Hablova dužina = ,
predstavlja trenutnu udaljenost galaksija u svetlosnim godinama(13.8 miliardi
ly, ako se uzme H0=70 km/s/Mpc)
Hablovo vreme = što
iznosi 4.35 × 1017 s za vrednost .
Ili nešto više od 14 milijardi godina, ali uz korekcione faktore.
Teorija generalne relativnosti je geometrijska teorija
gravitacije koja je privaćena kao moderna definicija gravitacije. Delo
je Alberta Ajnštajna koji je objavio 1915.godine.Teorija je objašnjena
je preko Ajnštajnovih jednačina polja, koji su sistem parcijalnih diferencijalnih
jednačina. U diferencijalima su korišćeni tenzori, i definisane su pojave
gravitacionih talasa, crnih rupa, prostornih koordinata,gravitacionog
crvenog pomaka, i veoma su složene za izlaganje.
Sledeća jednačina predstavlja kosmološki model u fizičkoj kosmologiji,
koja omogućava fizičarima da predstave evoluciju kosmosa koji je nastao
pre 14 milijardi godina.

gab je tenzor metričkog prostor-vremena; λ je kosmološka konstanta; Rab
je Ričijev tenzor Tab je energo-momentum tenzor,a k=(
),koeficijent proporcionalnosti.
Johan Kepler je jedan od najvećih astronoma svih vremena,smatra
se ključnom figurom naučne revolucije u 17-om veku. Živeo je od 1571 do
1630, u tom dobu je bio jedan od malo naučnika koji je svoje ideje mogao
i potpuno matematički da dokaže iako je podržavao ideju Božjeg plana univerzuma,
što mu je donelo veliko poštovanje od svojih savremenika.
Keplerovi zakoni planearnog pokreta se mogu uopšteno primeniti na svaki
sistem planeta jer su dobijeni na osnovu posmatranja i tačnih matematičkih
modela. Postoje tri zakona koja opisuju veći deo planetarnih orbita.Temelje
se na hipotezama:
Putanje planeta nisu kružne već elipsoidne;
Sunce ne može biti u centru već u fokusu putanje;
Ni linearna ni ugaona brzina nisu konstantne nego površina koju zahvata
vektor pravca i rezultantni vektor rotacije(radijus vektor) je konstantana;
Kvadrat orbitalnog perioda je proporcionalan kubu srednje vrednost minimalne
i maksimalne udaljenosti od sunca.
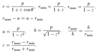
Prvi keplerov zakon: Planete se kreću eliptičkom putanjama
u čijem fokusu se nalazi centar mase - sunce

r,θ su sunčeve polarne koordinate, p je karakteristična pozicija,ε je
ekscentričnost,(a,b) su sporedne ose, rmin i rmax su poluprečnici malog
i velikog kruga.

Drugi Keplerov zakon: Radijus vektor Sunce-planeta u
jednakim vremenskim intervalima opisuje jednake površine.
Gde je površinska
brzina ,a r2 je radijus
vektor položaja
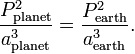
Treći Keplerov zakon:

je velika poluosa planete
,a je period obilaska
oko sunca date planete u odnosu na period zemlje i poluosu obilaska zemlje
Kvadrati obilaska planeta su srazmerni kubovima velikih poluosa.
Veliki Prasak – Big Bang, opšteprihvaćena teorija
Veliki prasak je najpotpuniji model o nastanku univerzuma
. Generalno dugo je vremena prisutan kao teorija i može se reći da je
najsveobuhvatnija i najtačnija verzija istine o događajima koji su doveli
do stvaranja sveta. Na temelju Ajnštajnove teorije relativiteta na osnovu
teorijskih petpostavki Žorža Lemetra,Hablovih dokaza i temeljnih opservacija,Fridmanovih
jednačina koje dokazuju inicijalne pretpostavke može se reći da je model
Velokog praska dobrim delom istina o nastanku.
Tome ide u prilog davno dokazana ekspanzija kosmosa tj. njegova inflacija.
Detaljnim analizama kosmičkog zračenja(γ-zračenja,x-zračenja,crvenog pomaka)
koji se manifestuje u pojavi crvenog zračenja koje je sa udaljenijih galaksija
sve više crvenije pa se bliži crvenoj liniji zračenja apsolutno crnog
tela. Što znači da je svetlost mogla krenuti sa udaljene galaksije kao
potpuno jaka-γ talas(kao od atomske bombe) a da se njena talasna dužina
jako uvećala što je proporcionalno udaljenosti koju je prevalila. Ta pojava
je osnovni dokaz uz opsežne opservacije i merenja koje neprekidno traju
i dan danas. Inače zračenje sa malo bližih galaksija je blisko plavoj
liniji spektra.
Naravno teorija koja je ovde pomenuta delom je ispitana u laboratorijskim
uslovima na Zemlji. U odgovarajućim akceleratorima čestica je simulirano
stanje ogromne temperatue i ekstremnog pritiska, gustine materije gde
su dobijeni rezultati koji značajno potvrđuju nukleosintezu Velikog praska.
Ali naravno to je samo jedna sićušna faza stvaranja sveta, jer tu fali
postupak kojim se može dobiti od kvantne gravitacije stvarna gravitaciona
sila koja vlada u kosmosu, pa još neki delovi univerzuma, tamna materija,
vakuumi, crna energija, crne rupe. Ispitivanja će se odvijati sve do trenutka
kada bi neko uspeo da dobije u laboratoriji mini-mikro kosmos. Što će
reći fali nam još mnogo podataka i znanja da bi se to uradilo ili jednostavno
dogodilo. U svetu se grade takvi akceleratori kao što je CERN, LNGS u
Italiji,Fermi u Sjedinjenim Državama. U Njujorku u jednoj od laboratorijia
Brokhaven centra uspeli su da dobiju mini-supernovu i taj postupak je
dobro dokumentovan, iako ta pojava nije od presudnog značaja za postanak
sveta ona je bitna jer nam daje veliku količinu podataka za shvatanje
nekih drugih zakonitosti nastanka sveta i fizike uopšteno.
Ovakva predstava kosmosa istraživana u laboratorijama na kraju i ne mora
biti tačna jer po njoj već u 10-37 sekundi stvaranja kosmos je počeo eksponencijalno
da raste a zatim je ‘’materija pobedila antimateriju’’ – barjogeneza i
u 10-6 sekundi već su nastali prvi protoni i neutroni, a za nekoliko minuta
pojavili su se i prva atomska jezgra, pa elektroni u neprestalno napredujućoj
ekspanziji.Još ni jedan akcelerator ne može da stvori 1033K. E po ovom
principu negde je morala da se ‘’sakrije antimaterija’’ u tom novonastalom
kosmosu(jer pre toga nije postojala ni praznina, stvaranjem kosmosa, nastale
su i praznine i objekti kao i sve ostalo) moguće da se to desilo u 10-15
sekundu Velikog praska kada je kvantna gravitacija materije probila barijeru
i odnela prevagu. Jer su prvi atomi po ovoj teoriji mogli nastati tek
posle 379000 godina kad se sve ohladilo na 6000K!
I po teoriji od tako velike ekspanzije kosmos se nije proširio u svim
pravcima jednako te do nas zahvaljujući tome dopire kosmičko pozadinsko
zračenje(iz udaljenih delova koji moguće još doživljavaju nukleosintezu,dalja
barjogeneza po kosmološkom principu Velikog praska nije dopuštena).A kako
je osnovni princip kosmologije da je univerzum u svojoj ukupnosti homogen
i izotropan onda nam fali još dokaza.
Crna rupa (black hole)
Crna
rupa je nebesko telo koncentrisano od mase sa gravitacionim
poljem tako jakim da cak i izlazna brzina iz najblizih tacaka prekoracuje
brzinu svetlosti. To znaci da nista, pa cak ni svetlost, ne moze
izaci iz njene gravitacije, pa joj odatle i potice ime crna rupa.
Teoretski crne rupe mogu biti bilo koje velicine, od mikroskopskih do
onih velicine Svemira. Crne rupe iziskuju opsti relativisticki koncept
zakrivljenog prostora-vremena (prostorno vremenskog kontinuuma), a njihove
najuocljivije karakteristike se oslanjaju na izoblicene geometrije prostora
koji ih okruzuje.
Crna rupa je zapravo nevidljiva jer guta svetlost. Kako bi astronomi otkrili
postojanje crne rupe, oni moraju proucavati druge okolne zvezde. Tamo
gde se nalazi crne rupa zvezde se oko nje znatno brze krecu nego u prostorima
crne rupe nisu prisutne. U galaksiji blizu nase Mlecne staze otkrivena
je prva super masivna crna rupa. Kasnije su naucnici koji se bave proucavanjem
astronomskih tela pronasli jos mnogo crnih rupa u nizu drugih galaksija
i zakljucili da se super masivne crne rupe nalaze u skoro svim galaksijama.
Jedna ovakva crna rupa je otkrivena i u sredistu nase galaksije Mlecne
staze i ima masu dva miliona puta vecu od Sunca.
Ovakva nebeska tela takodje uticu in a brzinu kruzenja zvezda na rubu
galaksije. Sto je veca masa crne rupe, to je brzina kruzenja zvezda brza.
Njihova povezanost ukazuje da su u proslosti crne rupe i brzine kruzenja
zvezda, takozvane sigme, bile blisko povezane. Do nedavno su naucnici
mislili da su galaksije i zvezde nastale sazimanjem plina,ali novija istrazivanja
dokazuju da crne rupe uticale na postanak i razvoj galaksija. Nastale
su urusavanjem velikog oblaka plina, pa su nakon nastajanja vitlale velike
kolicine plina i stvorile zvezde i samu galaksiju.
Bitni cinioci nastanka crne rupe su gravitacija i unutrašnji pritisak
zvezde. Ove dve stvari se suprotstavljaju jedna drugoj – gravitacijska
sila zvezde privlaci materiju na površinu zvezde želeci da "komadi"
materije upadnu u zvezdu, a unutrašnji pritisak zvezde deluje odbojno,
želeci izazvati da se materija razleti izvan zvezde. Kad su uravnotežene
(jednake po snazi) zvezda ce zadržati svoju velicinu: nece se ni urušiti
niti se proširiti. To je slucaj sa Suncem u ovom trenutku.Medutim, kad
zvezda potroši svoje nuklearno gorivo gravitacija ce pobediti unutrašnji
pritisak zvezde i zvezda ce se poceti polako sažimati ili se brzo urušavati,
zavisno od njene unutrašnje strukture. Gravitacija pobeduje unutrasnji
pritisak, jer se pritisak koji je proizvodio vruci plin smanjuje usled
gubitka energije koju zvezda emituje.
Zvezda tako može završiti život kao crna rupa. Hoce li se ili ne urušavanje
zaustaviti na nekoj manjoj velicini zavisi od drugog izvora pritiska (drugacijem
od onoga koji izaziva vruci plin) i koji je dovoljno jak da se uravnoteži
s pritiskajucom gravitacijskom silom. Postoje i drugi izvori pritiska
pored onoga koga proizvodi topli plin. Pritiskujuci sto mozemo uociti
ista desavanja – sto "gura" gore protiv vas i može podneti vašu
težinu (gravitaciona sila). Pritisak koji zadržava sto celim pod vašom
težinom uzrokovan je silama izmedu atoma u stolu.
Osim toga, elektroni u atomu moraju izbegavati jedan drugoga (npr. ne
mogu svi biti u istoj atomskoj "orbiti"). Zato, ako imamo skup
atoma koji se slobodno krecu oni ce, takode, izbegavati jedan drugoga:
što je veci pritisak na skupu elektrona (manji proctor na koji su ograniceni,
zbijeni) jaci je otpor pritisku – pritisak je onda suprotan vašem pritisku
na elektrone.
Ako je zvezda mase otprilike oko 3 do 5 suncevih masa, njena gravitaciona
sila ce biti veca i pritisak "degeneriranih elektrona" nikad
nece biti u stanju zaustaviti urušavanje. Pokazalo se da i neutroni poštuju
"princip iskljucenja" i pojavit ce se veliki broj neutrona kad
se masivna zvezda uruši, ali cak ni "degenerirani neutroni"
ne mogu zaustaviti kolaps masivne zvezde. Sve zvijezde preko 3 do 5 suncevih
masa ce postati crna rupa.
Crne rupe i neutronske zvezde nastaju gasenjem masivnih zvezda koje eksplodiraju
kao supernove. Proracuni pokazuju da cvrsti ostaci supernove s masom manjom
od tri sunceve mase postaju stabilne neutronske zvezde, ali svaki cvrsti
ostatak s vecom masom urušit ce se u crnu rupu.
CERN
CERN
je Evropski centar za nuklearna istrazivanja i u njemu se
desio do sada najveci i najskuplji naucni eksperiment koji je simulirao
Veliki prasak. Naucnici celog sveta pokusavali su da odloze ovaj
projekat jer bi po njihovim recima ovaj eksperiment mogao "progutati"
Zemlju.Eksperiment se desio 10. Septembra 2009.godine, 100 metara ispod
francusko-švajcarske zemlje u laboratoriji CERN. Naime, mašina za razbijanje
atoma dugacka 30 kilometara, a vredna 4,4 milijarde funti ubrzace cestice
ciji ce rezultat, navodno, otkriti tajnu postanka svemira.Ova "vremenska
mašina" bi u trenutku pokretanja trebalo da prikaže tacno šta se
dogadalo pre otprilike 14 milijardi godina. Protivnici ovog eksperimenta,
medu kojima su i univerzitetski profesori, podigli su tužbu kako bi se
eksperiment zaustavio. Naime, oni su uvereni kako bi ta mašina prilikom
razbijanja cestica mogla stvoriti malene crne rupe, koje bi nezaustavljivo
"gutale" svu materiju, ukljucujuci i svetlost koja ovom "svemirskom
cudovištu" ne bi mogla umaknuti. U sudskoj tužbi se navodi kako se
ulazi u Božje i potpuno nepoznato podrucje cija moguca katastrofa ne bi
uticala samo na istraživacki centar, vec bi mogla prouzrokovati nestanak
planete Zemlje i svakog života na njoj.Iako pokretaci ovog eksperimenta
iz Evropskog centra za nuklearna istraživanja tvrde kako ce malene crne
rupe koje ce nastati prilikom eksperimenta nestati, tužioci upozoravaju
kako to nije sto posto sigurno te da je opasnost prevelika. Nakon pokretanja
mašine dugacke 30 kilometara, cestice atoma putovace u suprotnim smerovima
tolikom brzinom da ce celu dužinu u jednoj sekundi obici 11.245 puta.
Naucnici ocekuju, kako ce pritom otkriti fundamentalni deo atoma, koji
navodno, postoji, ali nikada nije dokazan. Otto Rossler, koji predvodi
tužbu pod nazivom "Minut do 12" tužio je 20 zemalja koje finansiraju
ovaj projekt i napomenuo: "Vrlo je verovatno da crne rupe prežive,
narastu i progutaju Zemlju" na šta je direktor CERN centra odgovorio
da: "Zemlja nece biti u opasnosti vecoj od one u kojoj se svakodnevno
nalazi".
LHC
- Large Hadron Collider je 27-kilometarski kružni protonski
akcelerator, nazvan 'Veliki Otac' svih slicnih uredaja. Citav projekat
kosta gotovo devet milijardi dolara, a u njemu ucestvuje 15-ak zemalja.
Ujedno i najveci eksperiment na svetu, LHC ce ubrzati zrake protona koji
su vrte u suprotnim smerovima, do gotovo brzine svetlosti, i onda ce se
direktno sruciti jednu u drugu 600 miliona puta u sekundi. Ovi sudari
se rade vec godinama bez ikakvih problema, ali CERN-ov projekt izaziva
zabrinutost iskljucivo zbog svoje velicine.Unutar tunela rasporedjeno
je više od 5000 magneta koji trebaju ubrzati cestice gotovo do brzine
svetlosti. Kad se zrak od otprilike 10 triliona protona s brzinom od gotovo
334.000 kilometra u sekundi frontalno sudari s drugom, rezultat bi mogao
biti malo nepredvidljiv. I to je ono što brine neke naucnike koji imaju
svoje teorije o tome šta bi moglo biti konacni ishod tog pokusaja. Tako
se govori o crnoj rupi, objektu tolike gustoce da iz njega cak ni svetlost
ne može pobeci. Mnogi se boje da bi u slucaju neke nepredvidjene greške
u samom LHC-u ili nemogucnosti stabilizacije dobijene materije moglo doci
do nastanka crne rupe koja bi odmah pocela uvlaciti okolnu materiju.
Buducnost svemira
Prema nedavnim proracunima, postoji deset puta više zvijezda u vidljivom
svemiru nego što ima zrna peska na svim plažama i pustinjama na svetu.
Dobra vest je da ce zvezde postojati još puno vremena. Ipak jednog dana
svemir ce pasti u tamu. Svemir ce postojati još dugo ali na kraju ce postati
vrlo tamno i hladno mesto. Vec neko vreme je poznato da je broj zvezdanih
formacija u opadanju. Do tog se zakljucka došlo posmatranjem vrlo udaljenih
galaksija. Svetlostima tih galaksija potrebno je hiljade miliona svetlosnih
godina da dodju do Zemlje, dajuci njihovu sliku u vremenu kada su one
bile vrlo mlade. Galaksije sjaje kao kombinacija svetla svih zvezda koje
one sadrže. Dok je vecina zvezda mlada, plava svetlost vrlo vrucih masivnih
zvezda prevladava.Te plave zvijezde se vrlo brzo raspadaju i išcezavaju
što znaci da svetlost starije populacije zvezda dominiraju crvenom svetlošcu
od ostatka manjih zvezda.Astronomi su analizirali spektar svetla koristeci
se novom kompresivnom metodom kako bi dobili što veci broj informacija.
Dobili su ono što su vec znali, da se ta formacija zvezda pojavila pre
šest milijardi godina kada je Sunce bilo u procesu stvaranja. Ipak to
istraživanje dalo je mnogo više tacnosti o tome kakav bi svemir mogao
izgledati u dalekoj buducnosti.
Na kraju se postavlja pitanje kakva je konacna sudbina svemira. Procene
srednje gustine svemira vecinom ukazuju da je svemir otvoren, tj. da ce
se njegovo širenje vecno nastaviti. Nakon što istroše nuklearno gorivo,
zvezde ce izumirati. U svemiru ce biti sve više belih patuljaka, neutronskih
zvezda i crnih rupa. Jedan deo zvezda napustice svoje galaksije, a drugi
deo ce se sabiti u masivnu crnu rupu u galaksijskom središtu. Teorija
pokazuje da ce se beli patuljci pretvoriti u neutronske zvezde, a da ce
se neutronske zvezde pretvoriti u crne rupe. Verovatnoca tog procesa je
vrlo mala, ali u vrlo dugom periodu vremena on ce se ipak dogoditi. Za
naše pojmove u gotovo neizmernoj buducnosti, svemir ce se sastojati od
crnih rupa. Medutim, ni to nije konacno stanje. Vrlo dugotrajnim procesom,
crne rupe gube masu i “isparavaju”. Tako ce na kraju svemirski prostor
ostati ispunjen fotonima, neutronima i antineutronima.
Zanimljivosti
96 % SVEMIRA JE ZAGONETKA
Opažanja u zadnjim godinama su promenili osnovno razumevanje evolucije
svemira, pa su pokazala astronomima koliko malo znaju o glavnim silama
i stvarima koje oblikuju naš svet. Astronomi sada znaju da zvezde, planete
i plin zauzimaju samo oko 0.4% svemira. Komponente svemira, kao što je
crna rupa, intergalaksioni plinovi, zazimaju 3.6%svemira. Ostalo je ili
crna materija, oko 23%, ili crna energija, oko 73%. Crna materija koja
se ponekad zove "hladna crna materija", poznata je vec neko
vrijeme. Samo su nedavna istraživanja dovela do razumevanja uloga u formaciji
zvezda, planeta, pa cak i ljudi.
POSTOJI LI ŽIVOT U SVEMIRU?
Za vreme vedrih noci golim okom vidi se na nebu oko 4500 zvezda. Manjim
teleskopom mogu se zapaziti gotovo dva miliona zvezda, dok se savremenim
teleskopom moze videti svetlost milijardi zvezda svetlih tackica mlecnog
puta. Naš zvezdani sastav je u ovom svemirskom prostoru samo sitan deo
neuporedivo veceg zvezdanog sastava. Broj zvezda u našem Mlecnom putu
procenjuje se na 30 milijardi. Naš Mlecni put obuhvata najmanje 18 milijardi
razlicitih planeta. Da se život razvio na svakoj stotoj planeti, ostaje
još 1,8 miliona planeta i ako je samo jedan posto naseljen ostaje ih 180.
Nesumljivo je postojanje planeta slicnih Zemlji, sa slicnim sastavom plemenitih
plinova, sa slicnom gravitacijom, florom a možda cak i faunom. Predpostavka
da samo na onoj planeti koja je slicna Zemlji može postojati i razvijati
se život zapravo je neodrživa. Na zemlji prema procjeni žive dva miliona
raznih živih bica. Medu tim živim bicima postoji nekoliko hiljada bica
koja, prema uobicajnim pravilima ne bi mogla živeti, a ipak žive. Starost
svemira se procenjuje na osam do cetrdeset milijardi godina. Meteoriti
donose pod naše mikroskope tragove mnogih organskih stvari. Zemljina kora
je stvorena pre otprilike cetiri milijarde godina, a tek pre milion godina
je poceo da se razvija covek, a što je to prema milijardama godina proslosti
svemira. Nama je trebalo 400.000 godina da bismo postali ovakvi kakvi
smo danas? Ko može dokazati da na nekoj drugoj planeti nisu postojala
ili ne postoje pogodna sredina za razvoj drugacijih ili slicnih razumnih
bica? Zašto na drugim planetama ne bih mogli imati konkurenciju koja je
jednaka nama ili cak mocnija od nas.
SVEMIRSKI TURIZAM
Rezervacije za hotelsku sobu negde u Mlecnom putu vec se mogu nabaviti.
Svemirski turizam i zvanicno je otvorio americki milijarder Denis Tito
letom do Medunarodne svemirske stanice 23. aprila 2001. godine. Godinu
kasnije odleteo je i Mark Šatlvort, južnoafricki bogataš.
Jedini problem je u "karti" - jednonedeljna turneja je oko 20.000.000
$.
U svemir je hteo i Pavaroti, ali ruska Agencija za aeronautiku bi mu tražila
duplo - zbog kilograma, mada se sumnja da bi prošao lekarske preglede.Japanski
gradevinski gigant Šimicu zato je javno objavio da 2020. godine planira
da otvori orbitalni hotel na 450 kilometara iznad Zemlje, koji bi imao
oko 60 soba i pružao spektakularan pogled na našu planetu. Jedna druga
kompanija "Obajaši" sa neverovatnom preciznošcu kaže da 2061.
godine planira koloniju na Marsu. Istraživanja pokazuju da bi više od
70% Japanaca platilo oko 50.000 dolara za tronedeljnu vožnju oko planete.
I ostale "platežno sposobne nacije" uglavnom pokazuju veliko
interesovanje za svemirki turizam, izuzev Nemaca, kojima je ovo ocigledno
nespojivo sa idelnim odmorom uz pivo i kobasice.
Tržište, dakle, postoji, a racunica pokazuje da bi godišnje ovaj posao
donosio oko 60 milijardi dolara, dok bi vec 2030. oko 40 miliona ljudi
moglo da plati ovaj put. Pri tom bi u kosmosu radilo 20.000 ljudi a godišnji
obrt bio bi oko hiljadu milijardi dolara.
Literatura
[1] Stephen Hawking, "The brief history of time",
[2] http://hubblesite.org/
[3] Stephen Webb. "Measuring the Universe: The Cosmological Distance
Ladder"
[4] http://en.wikipedia.org
[5] http://universeadventure.org/index.html
[6] http://wmap.gfc.nasa.gov
PROČITAJ
/ PREUZMI I DRUGE SEMINARSKE RADOVE IZ OBLASTI:
|
|

preuzmi
seminarski rad u wordu » » »
Besplatni
Seminarski Radovi
|
|